Kisi Soal Dan Jawaban Materi Larutan Penyangga C1. Kunci Jawaban Buku Siswa Kelas 1 Halaman 76. Garam basa konjugatnya 1. Daya kerja larutan penyangga paling besar paling efisien bila. Apakah yang dimaksud dengan larutan penyanga.
Kisi Kisi Soal Smstr Ganjil 2017 From id.scribd.com
PH larutan larutan penyangga relative tidak berubah pada penambahan sedikit asam atau basa E. Berdasarkan uraian latar belakang tersebut maka masalah yang akan diteliti. PH larutan Indikator Soal. Contoh Soal Dan Jawaban Kemerdekaan Mengemukakan P. Ada dua larutan penyangga yaitu larutan penyangga asam dan basa. Larutan yang paling baik untuk mengkoagulasikan koloid ini adalah.
Contoh Soal Psikotes Iq Dan.
Contoh soal larutan penyangga nomor 1 5. Clatihan Soal Dan Jawaban Tata Busana. Baik mari kita ulik dan bahas beberapa contoh soal yang berkaitan dengan materi larutan penyangga Selamat Belajar. 5553 pengertian larutan penyangga 271 jenis larutan penyangga 583 pH larutan garam 281 pH larutan penyangga 375 dan peran larutan penyangga 208. Berapa volume larutan NaOh 0 1M dan CH3COOH yang harus ditambahkan untuk membentuk 100 mL larutan penyangga dengan pH6 Ka CH3COOH 1x 10-5. Contoh Soal Dan Jawaban Kemerdekaan Mengemukakan P.
Source: id.scribd.com
Bagaimana cara membuat larutan penyangga. Larutan penyangga dapat dibuat dari larutan basa dengan asam kuat berlebihan. Karena CO 2 H 2 CO 3 persamaan tersebut dapat ditulis. Fraksi mol pelarut c. Garam basa konjugatnya 1.
Source: gurupaud.my.id
Jawaban yang tepat C. Jawaban yang tepat C. Larutan penyangga dapat dibuat dari campuran larutan asam lemah dengan basa konjugasinya. Penambahan tawas penghilang bau badan Elektrolisis. Contoh soal dan jawaban asam basa dan larutan penyangga.
Source: teamhannamy.blogspot.com
Larutan penyangga digunakan untuk mempertahankan pH suatu larutan. Hitunglah pH sebelum dan sesudah ditambah H 2 SO 4 Ka HCOOH 2 x 10-4. Contoh soal dan pembahasan tegangan normal akibat beban aksial 1. Penggunaan cairan tetes mata. PH pK a atau dengan kata lain H K a.
Source: 123dok.com
Baik mari kita ulik dan bahas beberapa contoh soal yang berkaitan dengan materi larutan penyangga Selamat Belajar. Kunci Jawaban Bupena Kelas 4 Sd Jilid 4c. Buat kamu yang ingin mendalami pembahasan sifat koligatif larutan berikut kami sajikan 10 soal pilihan ganda dan pembahasan sifat koligatif larutan. Kumpulan Soal Usbn Bahasa Indonesia Sma Dan Kunci. Berapa volume larutan NaOh 0 1M dan CH3COOH yang harus ditambahkan untuk membentuk 100 mL larutan penyangga dengan pH6 Ka CH3COOH 1x 10-5.
Source: id.scribd.com
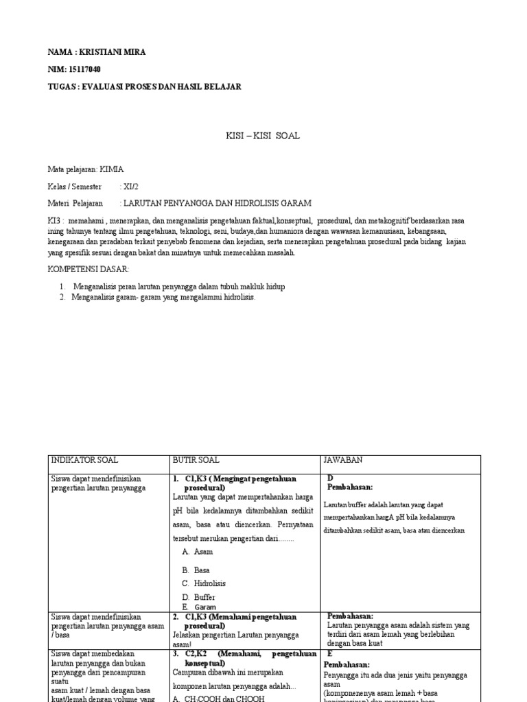
Tabel 32 Kisi-Kisi Tes Tertulis Indikator Pembelajaran Nomor Soal 3131 Mengidentifikasi pengertian dan komponen larutan penyangga 1 PG 2 PG 3 PG dan 1 Essay 3132 Menganalisis cara kerja larutan penyangga yang bersifat asam dan larutan penyangga yang bersifat basa 2 Essay 3133 Menghitung pH larutan penyangga berdasarkan data 4 PG 5 PG 6 PG 7 PG 4 Essay dan 5 Essay 3134 Menentukan peran larutan penyangga. Dibuat kumpulan soal ini yaitu materi asam-basa hidrolisis dan larutan penyangga. Apakah yang dimaksud dengan larutan penyanga. Gambar 46 Hasil jawaban siswa pada soal nomor enam. Mendeskripsikan sifat-sifat larutan metode pengukuran dan terapannya Materi.
Source: cute766.info
Larutan penyangga berfungsi untuk mempertahankan harga pH agar selalu 7 C. Daya kerja larutan penyangga paling besar paling efisien bila. Bagaimana cara membuat larutan penyangga. Siswa serta mengetahui peningkatan pemahaman konsep siswa pada materi larutan penyangga. Buat kamu yang ingin mendalami pembahasan sifat koligatif larutan berikut kami sajikan 10 soal pilihan ganda dan pembahasan sifat koligatif larutan.
Source: teamhannamy.blogspot.com
Miskonsepsi terjadi disebagian sub konsep materi dengan presentasi cukup tinggi pada sub konsep pengertian hidrolisis 813 kesetimbangan ion dalam larutan garam. Penggunaan cairan tetes mata. Terdapat sisa CH3COOH sebanyak 5 mmol berarti campuran tersebut membentuk suatu larutan penyangga. Baik mari kita ulik dan bahas beberapa contoh soal yang berkaitan dengan materi larutan penyangga Selamat Belajar. Larutan penyangga dapat dibuat dari campuran garam dengan basa kuat berlebih.
Source: id.scribd.com
Contoh soal larutan penyangga nomor 1 5. Dibuat kumpulan soal ini yaitu materi asam-basa hidrolisis dan larutan penyangga. Contoh soal larutan penyangga. Berapa volume larutan NaOh 0 1M dan CH3COOH yang harus ditambahkan untuk membentuk 100 mL larutan penyangga dengan pH6 Ka CH3COOH 1x 10-5. Larutan penyangga dapat dibuat dari campuran garam dengan basa kuat berlebih.
Source: id.scribd.com
Berapa volume larutan NaOh 0 1M dan CH3COOH yang harus ditambahkan untuk membentuk 100 mL larutan penyangga dengan pH6 Ka CH3COOH 1x 10-5. Terdapat sisa CH3COOH sebanyak 5 mmol berarti campuran tersebut membentuk suatu larutan penyangga. Berdasarkan uraian latar belakang tersebut maka masalah yang akan diteliti. Contoh soal dan jawaban larutan penyangga pg. Daya kerja larutan penyangga paling besar paling efisien bila.
Source: id.scribd.com
Suatu campuran penyangga yang terbentuk dari 500 mL larutan HCOOH 1 M dan 500 mL larutan HCOONa 1 M ditambah 100 mL larutan H 2 SO 4 005 M. Pemilihan materi ini dikarenakan ketiga materi tersebut merupakan materi yang cukup sulit karena menuntut pemahaman konsep yang tinggi dan rentan hitungan. Siswa dapat menghitung pH larutan penyangga jika volume konsentrasi asam lemah dan basa kuat diketahui. Larutan penyangga berfungsi untuk mempertahankan harga pH agar selalu 7 C. Soal Dan Kunci Jawaban Cpns 2019.
Source: id.scribd.com
1 dan pKa 61 pada suhu fisiologis bukan suhu standar sehingga pH darah. Siswa serta mengetahui peningkatan pemahaman konsep siswa pada materi larutan penyangga. Apa yang yang dimaksud dengan larutan penyangga. Berapa volume larutan NaOh 0 1M dan CH3COOH yang harus ditambahkan untuk membentuk 100 mL larutan penyangga dengan pH6 Ka CH3COOH 1x 10-5. Penggunaan cairan tetes mata.
Source: id.scribd.com
Kumpulan Soal Usbn Bahasa Indonesia Sma Dan Kunci. Larutan penyangga asam terbentuk jika asam lemah bereaksi dengan basa kuat dan terdapat sisa asam lemah. As 2 S 3 adalah koloid hidrofob yang bermuatan negatif. Miskonsepsi terjadi disebagian sub konsep materi dengan presentasi cukup tinggi pada sub konsep pengertian hidrolisis 813 kesetimbangan ion dalam larutan garam. Apakah yang dimaksud dengan larutan penyanga.
Source: kumpulanmateripelajaranpoputer1144.blogspot.com
Garam basa konjugatnya 1. Bagaimana cara membuat larutan penyangga. PH larutan larutan penyangga relative tidak berubah pada penambahan sedikit asam atau basa E. Siswa dapat menghitung pH larutan penyangga jika volume konsentrasi asam lemah dan basa kuat diketahui. Mendeskripsikan sifat-sifat larutan metode pengukuran dan terapannya Materi.
Source: academia.edu
PH larutan larutan penyangga relative tidak berubah pada penambahan sedikit asam atau basa E. Larutan penyangga dapat dibuat dari asam lemah dengan garam apa saja B. Daya kerja larutan penyangga paling besar paling efisien bila. Baik mari kita ulik dan bahas beberapa contoh soal yang berkaitan dengan materi larutan penyangga Selamat Belajar. Mengacu pada permasalahan tersebut peneliti akan menyusun instrumen penilaian yang berupa soal-soal dengan tingkatan kesukaran yang berbeda pada mata pelajaran kimia khususnya materi konsep larutan penyangga dan hidrolisis.
Source: id.scribd.com
Bila pH pK a maka nilai log asam garam 0 atau dengan kata lain asam garam secara perbandingan jumlah asam lemah. Suatu campuran penyangga yang terbentuk dari 500 mL larutan HCOOH 1 M dan 500 mL larutan HCOONa 1 M ditambah 100 mL larutan H 2 SO 4 005 M. Bila pH pK a maka nilai log asam garam 0 atau dengan kata lain asam garam secara perbandingan jumlah asam lemah. Bagaimana cara membuat larutan penyangga. PH larutan larutan penyangga relative tidak berubah pada penambahan sedikit asam atau basa E.
Source: id.scribd.com
Larutan yang paling baik untuk mengkoagulasikan koloid ini adalah. Larutan penyangga digunakan untuk mempertahankan pH suatu larutan. Berdasarkan uraian latar belakang tersebut maka masalah yang akan diteliti. Adapun dalam upaya memberikan penjelasan lebih lengkap. Garam basa konjugatnya 1.
Source: scribd.com
Siswa dapat menghitung pH larutan penyangga jika volume konsentrasi asam lemah dan basa kuat diketahui. Contoh soal larutan penyangga nomor 1 5. Kunci Jawaban Buku Siswa Kelas 1 Halaman 76. Contoh Soal Dan Pembahasan Larutan Penyangga Chemistry Is Fun Contoh Soal Dan Pembahasan Hidrolisis Garam Chemistry Is Fun Sebanyak 100ml Larutan Hno2 0 4m Dicampur Dgn 100ml Larutan Ca Oh 2 0 2m Jika Ka Hno2 5x10pangkat Brainly Co Id. 28122017 Contoh Soal Larutan Penyangga Nomor 1-5.
Source: bakingupforlosttime.blogspot.com
Sarana dan prasarana laboratorium sudah memadai. Contoh soal dan jawaban larutan penyangga pg. Bila pH pK a maka nilai log asam garam 0 atau dengan kata lain asam garam secara perbandingan jumlah asam lemah. Dalam pH darah normal biasanya perbandingan HCO 3 dengan CO 2 atau H 2 CO 3 adalah 20. Penambahan tawas penghilang bau badan Elektrolisis.
This site is an open community for users to do sharing their favorite wallpapers on the internet, all images or pictures in this website are for personal wallpaper use only, it is stricly prohibited to use this wallpaper for commercial purposes, if you are the author and find this image is shared without your permission, please kindly raise a DMCA report to Us.
If you find this site convienient, please support us by sharing this posts to your own social media accounts like Facebook, Instagram and so on or you can also save this blog page with the title kisi soal dan jawaban materi larutan penyangga c1 by using Ctrl + D for devices a laptop with a Windows operating system or Command + D for laptops with an Apple operating system. If you use a smartphone, you can also use the drawer menu of the browser you are using. Whether it’s a Windows, Mac, iOS or Android operating system, you will still be able to bookmark this website.




