Materi Persamaan Lingkaran Dan Contoh Soal. Soal Soal Persamaan Lingkaran Beserta Jawabannya. Persamaan lingkaran berpusat di titik 2 3 dan melalui titik 5 -1 adalah. Tentukan persamaan umum lingkaran yang berpusat di titik 51 dan menyinggung garis 3 x 4 y 4 0. Diketahui lingkaran l berpusat di -23 dan melalui titik 15.
Kumpulan Soal Persamaan Lingkaran Ilmu Pengetahuan 8 From ilmupopuler328.blogspot.com
Dengan A -4 B 6 dan C -12 dan. Penyelesaian soal pembahasan. Dari soal diatas tadi yang kita ketahui mengenai persamaan yang telah dijelaskan diatas ialah. Jika panjang busur pada lingkaran itu 11 dm luas juringnya adalah. Rangkuman Materi Contoh Soal dan Pembahasan Persamaan Lingkaran. Jika π 227 jari-jari lingkaran 21 cm luas daerah yang diarsir adalah.
Persamaan garis singgung pada lingkaran x 12 y 22 5 yang melalui titik 2 4 adalah sebagai berikut.
X2 y2 6x - 4y - 23 0. X2 y2 - 12x 20y 55 0 Tunjukkan bahwa lingkaran saling bersinggungan di luar. 1 Tentukanlah persamaan lingkaran yang berpusat di O0 0 dan berjari-jari 4sqrt2 Jawab x2 y2 r2 x2 y2 4sqrt22. Artikel awal ini membahas persamaan lingkaran dengan pusat titik 0 0 titik a b dan bentuk umum persamaan lingkaran garis singgung pada lingkaran dibahas pada artikel tersendiri. Materi persamaan lingkaran telah dipelajari ketika di bangku Sekolah Menengah Atas SMA dan sederajat. 3112021 Untuk lebih memahaminya silahkan membaca dengan jelas dan perhatikan contoh soal-soalnya.
Source: mediamateribelajar.blogspot.com
Tentukan persamaan umum lingkaran yang berpusat di titik 51 dan menyinggung garis 3 x 4 y 4 0. Bama Nurrochman RINGKASAN MATERI LINGKARAN No. Kedudukan garis terhadap lingkaran. X 2 y 2 6 C. Persamaan lingkaran yang melalui titik 3-2 dan.
Source: rumus.co.id
Persamaan Lingkaran - Materi Persmaan lingkaran biasanya akan dibahas setelah irisan kerucut. Kedudukan Garis dan Lingkaran. Materi ini membahas seluk beluk tentang lingkaran. Tapi di SMA materinya persamaan lingkaran yuk cek contoh soal dan pembahasannya. Kedudukan garis terhadap lingkaran.
Source: dapatkancontoh.blogspot.com
Persamaan lingkaran yang berpusat di 2 3 dan melalui titik 5 -1adalah. Contoh soal 6 Diketahui persamaan lingkaran L1. Jadi persamaan lingkaran yang berpusat di O0 0 dan berjari-jari r adalah x2 y2 r2. Jika π 227 jari-jari lingkaran 21 cm luas daerah yang diarsir adalah. Suatu lingkaran mempunyai diameter 84 dm.
Source: slideshare.net
Persamaan Lingkaran - Materi Persmaan lingkaran biasanya akan dibahas setelah irisan kerucut. 2682020 Jadi persamaan umum lingkaran yang berpusat di titik 51 dan menyinggung garis 3x 4y 4 0 adalah. Tentukan persamaan lingkaran yang berpusat di -4 3 dan menyinggung garis 3x 2y 2 0. Kedudukan garis terhadap lingkaran. 14Tentukan persamaan lingkaran dengan pusat 32 dan menyinggung sumbu Y.
Source: ajarhitung.com
Suatu lingkaran mempunyai diameter 84 dm. Suatu lingkaran mempunyai diameter 84 dm. X 2 y 2 36 B. XI A1 DAN 15 SOAL beserta PEMBAHASANNYA RINGKASAN MATERI. 2682020 Jadi persamaan umum lingkaran yang berpusat di titik 51 dan menyinggung garis 3x 4y 4 0 adalah.
Source: id.scribd.com
242020 Dengan demikian kedua lingkaran berpotongan. Tentukan persamaan lingkaran yang berpusat di -4 3 dan menyinggung garis 3x 2y 2 0. Karena r 4 dan pusat adalah O 00 maka persamaan. Persamaan lingkaran yang melalui titik 3-2 dan. X 2 y 2 36 B.
Source: quipper.com
Pertama kita menentukan jari-jari lingkaran tersebut dengan rumus. Suatu lingkaran mempunyai diameter 84 dm. Persamaan lingkaran yang berpusat di 2 3 dan melalui titik 5 -1adalah. Soal Soal Persamaan Lingkaran Beserta Jawabannya. Artikel awal ini membahas persamaan lingkaran dengan pusat titik 0 0 titik a b dan bentuk umum persamaan lingkaran garis singgung pada lingkaran dibahas pada artikel tersendiri.
Source: ilmupopuler328.blogspot.com
Dengan A -4 B 6 dan C -12 dan. X 2 y 2 - 36 36 Pembahasan. Tentukanlah persamaan garis singgung pada lingkaran yang melalui titik 2 4 dengan persamaan lingkaran x 12 y 22 5. Persamaan Lingkaran - Materi Persmaan lingkaran biasanya akan dibahas setelah irisan kerucut. Persamaan lingkaran yang berpusat di 2 3 dan melalui titik 5 -1adalah.
Source: wardayacollege.com
X - 6 2 y - 6 2 36 D. Dari soal diatas tadi yang kita ketahui mengenai persamaan yang telah dijelaskan diatas ialah. 2 Untuk lebih jelasnya pelajarailah contoh soal berikut ini. Pertama kita menentukan jari-jari lingkaran tersebut dengan rumus. 242020 Dengan demikian kedua lingkaran berpotongan.
Source: slideshare.net
Persamaan lingkaran yang berpusat di 2 3 dan melalui titik 5 -1adalah. Penyelesaian Syarat dua lingkaran bersinggungan di luar adalah M1M2 r1 r2 L1. 2362019 Contoh Soal 2. X32 y 22 9 x2 y2 6x4y4 0 15. Jika π 227 jari-jari lingkaran 21 cm luas daerah yang diarsir adalah.
Source: quipper.com
Suatu lingkaran mempunyai diameter 84 dm. Jika π 227 jari-jari lingkaran 21 cm luas daerah yang diarsir adalah. Karena pusatnya 32 dan menyinggung sumbu Y maka r 3. X2 y2 6x - 4y - 23 0. Rangkuman Materi Contoh Soal dan Pembahasan Persamaan Lingkaran.
Source: barucontohsoal.blogspot.com
X 2 y 2 6 C. Hitung jari-jari lingkaran. Tentukan persamaan umum lingkaran yang berpusat di -34 dan menyinggung sumbu-Y. Bama Nurrochman RINGKASAN MATERI LINGKARAN No. Contoh soal 6 Diketahui persamaan lingkaran L1.
Source: quipper.com
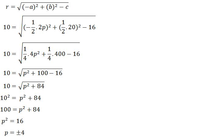
Pertama-tama kita gambarkan dahulu grafik lingkarannya yaitu berpusat di -34 dan menyinggung sumbu-Y. Contoh soal 6 Diketahui persamaan lingkaran L1. X2 y2 6x - 4y - 23 0 L2. Contoh Soal Persamaan Lingkaran Soal No1 Sebuah lingkaran yang memiliki titik pusat P00 dengan jari-jari 6 maka persamaan lingkaran tersebut adalah. Jika diketahui pusat lingkaran a b 51 dan garis singgung lingkarannya 3 x 4 y 4 0 maka jari-jari lingkarannya dirumuskan sebagai berikut.
Source: slideshare.net
Jadi persamaan lingkaran yang berpusat di O0 0 dan berjari-jari r adalah x2 y2 r2. Jika panjang busur pada lingkaran itu 11 dm luas juringnya adalah. Kedudukan garis terhadap lingkaran. Persamaan lingkaran yang melalui titik 3-2 dan. Persamaan umum lingkaran adalah.
Source: slideshare.net
Lingkaran dengan pusat O 00 dan menyinggung garis 12x-5y 520 memiliki persamaan sebagai berikut. Persamaan lingkaran yang melalui titik 3-2 dan. Jadi persamaan lingkaran yang berpusat di O0 0 dan berjari-jari r adalah x2 y2 r2. 2682020 Jadi persamaan umum lingkaran yang berpusat di titik 51 dan menyinggung garis 3x 4y 4 0 adalah. Dengan A -4 B 6 dan C -12 dan.
Source: wikimatematika.blogspot.com
Bama Nurrochman RINGKASAN MATERI LINGKARAN No. X2 y2 - 12x 20y 55 0 Tunjukkan bahwa lingkaran saling bersinggungan di luar. Karena pusatnya 32 dan menyinggung sumbu Y maka r 3. Pada gambar di bawah ini sudut AOB pada daerah yang diarsir 60 derajat. Penyelesaian soal pembahasan.
Source: mathcyber1997.com
Persamaan lingkaran yang berpusat di 2 3 dan melalui titik 5 -1adalah. Tapi di SMA materinya persamaan lingkaran yuk cek contoh soal dan pembahasannya. Suatu lingkaran mempunyai diameter 84 dm. 2722021 Namun berikut ini merupakan contoh soal dari persamaan garis singgung Persamaan garis singgung yang melewati titik -1 1 maka pada lingkaran. Dari soal diatas tadi yang kita ketahui mengenai persamaan yang telah dijelaskan diatas ialah.
Source: soalfismat.com
X2 y2 6x - 4y - 23 0. Tentukan persamaan lingkaran yang berpusat di -4 3 dan menyinggung garis 3x 2y 2 0. Penyelesaian soal pembahasan. Suatu lingkaran mempunyai diameter 84 dm. Materi ini membahas seluk beluk tentang lingkaran.
This site is an open community for users to share their favorite wallpapers on the internet, all images or pictures in this website are for personal wallpaper use only, it is stricly prohibited to use this wallpaper for commercial purposes, if you are the author and find this image is shared without your permission, please kindly raise a DMCA report to Us.
If you find this site helpful, please support us by sharing this posts to your own social media accounts like Facebook, Instagram and so on or you can also bookmark this blog page with the title materi persamaan lingkaran dan contoh soal by using Ctrl + D for devices a laptop with a Windows operating system or Command + D for laptops with an Apple operating system. If you use a smartphone, you can also use the drawer menu of the browser you are using. Whether it’s a Windows, Mac, iOS or Android operating system, you will still be able to bookmark this website.





