Ringkasan Dan Soal Plkj Kelas 9. FormsgleAXZBnegwcw4aXvTq5 Risa Arifiani materi prakarya kelas 9 semester 2. Kisi-Kisi Soal UAS Semester Ganjil SMPMTs Kelas 9 Semua Mata Pelajaran Selasa November 14 2017 Sebelumnya kami telah membagikan Kisi-Kisi UAS Semester 1 SMPMTs Semua Mata Pelajaran Kelas 7 dan Kelas 8 yang mungkin bisa menjadi referensi Latihan dan Prediksi Soal yang nanti akan keluar pada saat Ujian dilaksanakan tanggal 4 Desember Tahun 2017 dalam waktu dekat. Jika jawaban salah skor jawaban -1. Dan O berutur-turut sebanyak.
Uas Genap Plkj Kelas Ix Tahun 2012 Pdf From id.scribd.com
Jika Siska menjawab 80 soal dengan benar dan 3 soal terjawab salah maka skor Siska adalah. Soal nomor 1 Senyawa Al 2 SO 4 3 tersusun dari atom-atom Al S. Berikut ini admin bagikan ringkasan dan latihan soal UN IPA SMP MTs materi Sistem Reproduksi untuk membantu belajar peserta didik kelas IX sembilan dalam menghadapi Ujian Nasional IPA. Jika tidak dijawab skor jawaban 0. Peta konsep Prakarya Kelas 9 Kurikulum 2013 Edisi Revisi 2018 untuk materi Budidaya Ikan Hias tampak pada skema berikut. Kunci jawaban soal penilaian harian kelas 5 tema 2 subtema 3 jawaban soal pilihan ganda 1.
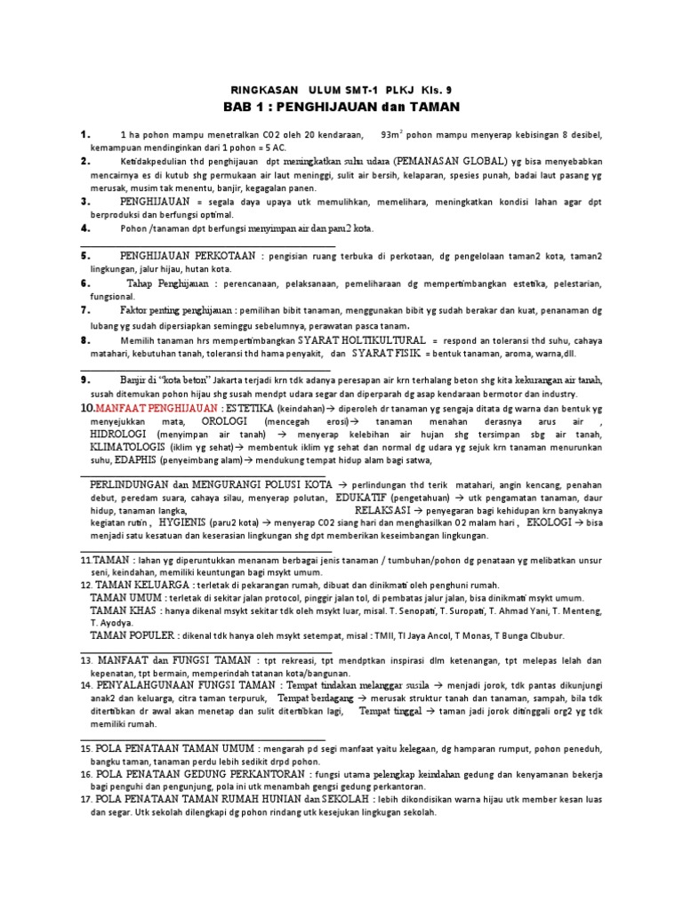
Soal Uas Plkj Kelas 9 Semester 1 Dan Kunci Jawaban Sekarang kita lanjut ke latihan soal Essayuraian UTSPTS TIK kelas 9 semester 1 beserta jawabannya ada di bawah ini.
Kedaulatan berkaitan dengan kekuasaan negara sehingga. Teruskan Gerakan Untuk Hidup Bersih a. Berikut kisi kisi soal dan jawaban mata pelajaran penjas orkes smp kelas 9 penilaian akhir semester semester ganjil. Unknown latihan soal dan jawaban tik kelas 9 smp pilihlah jawaban yang paling tepat. Bahaya banjir juga mengakibatkan timbulnya wabah penyakit sakit perut dan kolera alasannya. Keanekaragaman sumber pangan 5.
Source: id.pinterest.com
Soal uts pkn kelas 9 semester 2 dan kunci jawaban contents hide 1 soal uts pkn kelas 9 semester 2 dan. Suatu keadaan di mana sungai selokan atau kali tidak dapat menampung air sehingga meluap dan menggenangi permukaan tanah yang lebih rendah disebut. Bahaya banjir juga mengakibatkan timbulnya wabah penyakit sakit perut dan kolera alasannya. Soal try out sd kelas 6. Hakikat dan Teori Kedaulatan.
Source: id.scribd.com
Ringkasan dan Latihan Soal UN IPA SMP MTs Materi Sistem Reproduksi. Soal try out smp kelas 9. FormsgleAXZBnegwcw4aXvTq5 Risa Arifiani materi prakarya kelas 9 semester 2. Radiasi Indah Menarik Manusiawi dan Aman c. Latihan soal IPA tentang materi untuk kelas 9 Kurikulum 2013 ini berbentuk pilihan ganda dengan empat alternatif jawaban.
Source: id.scribd.com
Keanekaragaman sumber pangan 5. Jika tidak dijawab skor jawaban 0. BATU MATERI PRAKARYA KELAS 9. Soal try out smp kelas 9. Keanekaragaman sumber pangan 5.
Source: id.scribd.com
Teruskan Gerakan Untuk Hidup Bersih Indah Mempesona Manusiawi dan. Jika jawaban salah skor jawaban -1. Keanekaragaman sumber pangan 5. A jawaban soal isian 1. 1206 Questions All questions 5 questions 6 questions 7 questions 8 questions 9 questions 10 questions 11 questions 12 questions 13 questions 14 questions 15 questions 16 questions 17 questions 18 questions 19 questions 20 questions.
Source: id.pinterest.com
Bahaya banjir juga mengakibatkan timbulnya wabah penyakit sakit perut dan kolera alasannya. Ringkasan dan Latihan Soal UN IPA SMP MTs Materi Sistem Reproduksi. Keanekaragaman sumber pangan 5. Ringkasan Materi Pokok 1. Soal nomor 1 Senyawa Al 2 SO 4 3 tersusun dari atom-atom Al S.
Source: gurugaleri.com
Soal Uas Plkj Kelas 9 Semester 1 Dan Kunci Jawaban Sekarang kita lanjut ke latihan soal Essayuraian UTSPTS TIK kelas 9 semester 1 beserta jawabannya ada di bawah ini. Ringkasan dan Latihan Soal UN IPA SMP MTs Materi Sistem Reproduksi. JENIS DAN KARAKTERISTIK KERAJINAN BERBASIS MEDIA CAMPURAN BAG 1. Soal nomor 1 Senyawa Al 2 SO 4 3 tersusun dari atom-atom Al S. Dan O berutur-turut sebanyak.
Source: id.scribd.com
FormsgleAXZBnegwcw4aXvTq5 Risa Arifiani materi prakarya kelas 9 semester 2. Secara umum ringkasan materi ini dapat memudahkan siswa untuk belajar dan dapat juga mengetahui materi secara menyeluruh. Dan O berutur-turut sebanyak. Soal try out sd kelas 6. 303 PENYELESAIAN Dari 100 soal diperoleh 80 soal dijawab dengan benar 3 soal dijawab salah sehingga soal yang tidak dijawab sebanyak 17 soal.
Source: id.scribd.com
Secara umum ringkasan materi ini dapat memudahkan siswa untuk belajar dan dapat juga mengetahui materi secara menyeluruh. Selengkapnya soal-soal penilaian harian semester 2 kelas 5 SDMI Kurikulum 2013 Tema 9 Benda-Benda di Sekitar Kita yang belum disertai dengan kunci dapat dilihat melalui link berikut ini. BATU MATERI PRAKARYA KELAS 9. FormsgleAXZBnegwcw4aXvTq5 Risa Arifiani materi prakarya kelas 9 semester 2. Soal uts pkn kelas 9 semester 2 dan kunci jawaban contents hide 1 soal uts pkn kelas 9 semester 2 dan.
Source: id.scribd.com
Jika jawaban salah skor jawaban -1. Radiasi Indah Menarik Manusiawi dan Aman c. Berikut ini adalah ringkasan materi pelajaran kelas 9 IX SMPMTs semester 1 Kurikulum 2013 revisi 2018 yang disertai dengan penjelasan melalui video pembelajaran daring online untuk materi pokok bahasan BAB 4 Kekongruenan dan Kesebangunan. Soal semester 1 PLKJ kelas 9. A jawaban soal isian 1.
Source: id.scribd.com
Soal Dan Kunci Jawaban Pas Seni Budaya Smp Kelas 9 Kurikulum 2013 Didno76 Com Download Soal Tematik Kelas 5 Semester 2 Tema 8 Subtema 1 Lingkungan Sahabat Kita Manusia Dan Lingkungan Edisi Ter Matematika Kelas 5 Tema Kelas Pendidikan. Jika jawaban salah skor jawaban -1. Suatu keadaan di mana sungai selokan atau kali tidak dapat menampung air sehingga meluap dan menggenangi permukaan tanah yang lebih rendah disebut. Berikut kisi kisi soal dan jawaban mata pelajaran penjas orkes smp kelas 9 penilaian akhir semester semester ganjil. Kisi-Kisi Soal UAS Semester Ganjil SMPMTs Kelas 9 Semua Mata Pelajaran Selasa November 14 2017 Sebelumnya kami telah membagikan Kisi-Kisi UAS Semester 1 SMPMTs Semua Mata Pelajaran Kelas 7 dan Kelas 8 yang mungkin bisa menjadi referensi Latihan dan Prediksi Soal yang nanti akan keluar pada saat Ujian dilaksanakan tanggal 4 Desember Tahun 2017 dalam waktu dekat.
Source: id.pinterest.com
Dec 5 2013 Total Attempts. 1 dan 2 c. Hakikat dan Teori Kedaulatan. BATU MATERI PRAKARYA KELAS 9. Teruskan Gerakan Untuk Hidup Bersih Indah Mempesona Manusiawi dan.
Source: id.scribd.com
Bahaya banjir juga mengakibatkan timbulnya wabah penyakit sakit perut dan kolera alasannya. Rangkuman Materi IPA Kelas 9 KTSP - MATERIKELASXYZ Berikut ini saya sajikan buat anda rangkuman materi IPA lengkap untuk kelas IX yang terdiri dari dua semester sebagai bahan belajar untuk menghadapi ulangan ujian semester atau UN. Secara umum ringkasan materi ini dapat memudahkan siswa untuk belajar dan dapat juga mengetahui materi secara menyeluruh. Selengkapnya soal-soal penilaian harian semester 2 kelas 5 SDMI Kurikulum 2013 Tema 9 Benda-Benda di Sekitar Kita yang belum disertai dengan kunci dapat dilihat melalui link berikut ini. Download Soal Prakarya Kelas 9 Kerajinan Berbasis Media Campuran PDF 500 MB - SamPDF SamPDF BAG 1.
Source: id.scribd.com
Rangkuman Materi IPA Kelas 9 KTSP - MATERIKELASXYZ Berikut ini saya sajikan buat anda rangkuman materi IPA lengkap untuk kelas IX yang terdiri dari dua semester sebagai bahan belajar untuk menghadapi ulangan ujian semester atau UN. Ringkasan dan Latihan Soal UN IPA SMP Materi Pencemaran Lingkungan Baca Ringkasan dan Latihan Soal UN IPA SMP MTs Materi Ekosistem Baca Ringkasan dan Latihan Soal UN IPA SMP Materi Organisasi Kehidupan Baca Ringkasan dan Latihan Soal UN IPA SMP MTs Materi Gejala Alam Baca Demikian Ringkasan dan Latihan Soal UN IPA SMP MTs Materi Optik. Latihan soal IPA tentang materi untuk kelas 9 Kurikulum 2013 ini berbentuk pilihan ganda dengan empat alternatif jawaban. Suatu keadaan di mana sungai selokan atau kali tidak dapat menampung air sehingga meluap dan menggenangi permukaan tanah yang lebih rendah disebut. 1 dan 2 c.
Source: id.scribd.com
Indonesia memiliki banyak jenis ikan hias air tawar. Radiasi Indah Menarik Manusiawi dan Aman c. Bahaya banjir juga mengakibatkan timbulnya wabah penyakit sakit perut dan kolera alasannya. Berikut ini adalah ringkasan materi pelajaran kelas 9 IX SMPMTs semester 1 Kurikulum 2013 revisi 2018 yang disertai dengan penjelasan melalui video pembelajaran daring online untuk materi pokok bahasan BAB 4 Kekongruenan dan Kesebangunan. 303 PENYELESAIAN Dari 100 soal diperoleh 80 soal dijawab dengan benar 3 soal dijawab salah sehingga soal yang tidak dijawab sebanyak 17 soal.
Source: kisikisisoaldanmateripelajaran365.blogspot.com
303 PENYELESAIAN Dari 100 soal diperoleh 80 soal dijawab dengan benar 3 soal dijawab salah sehingga soal yang tidak dijawab sebanyak 17 soal. 632021 Download Soal Ulangan Harian Kelas 5 Tema 9 Benda-Benda di Sekitar Kita Soal penilaian harian tematik kelas 5 SDMI tema 9 terdiri dari soal pilihan ganda isian singkat dan uraian. Soal nomor 1 Senyawa Al 2 SO 4 3 tersusun dari atom-atom Al S. Dan O berutur-turut sebanyak. Extra Speed Soal Ulangan Umum Plkj Kelas 9 Topik Banjir Dan Kebakaran January 19 2018 Extra Speed Soal Ulangan Umum Plkj Kelas 9 Topik Banjir Dan Kebakaran DOWNLOAD Mirror 1.
Source: id.scribd.com
Materi matematika kelas 9 IX SMPMTs Kurikulum 2013 edisi revisi 2018 sesuai dengan buku yang diterbitkan Pusat Kurikulum dan. Soal nomor 1 Senyawa Al 2 SO 4 3 tersusun dari atom-atom Al S. Jika tidak dijawab skor jawaban 0. Soal try out sd kelas 6. A jawaban soal isian 1.
Source: id.pinterest.com
1206 Questions All questions 5 questions 6 questions 7 questions 8 questions 9 questions 10 questions 11 questions 12 questions 13 questions 14 questions 15 questions 16 questions 17 questions 18 questions 19 questions 20 questions. Indonesia memiliki banyak jenis ikan hias air tawar. Soal Uas Plkj Kelas 9 Semester 1 Dan Kunci Jawaban Sekarang kita lanjut ke latihan soal Essayuraian UTSPTS TIK kelas 9 semester 1 beserta jawabannya ada di bawah ini. 632021 Download Soal Ulangan Harian Kelas 5 Tema 9 Benda-Benda di Sekitar Kita Soal penilaian harian tematik kelas 5 SDMI tema 9 terdiri dari soal pilihan ganda isian singkat dan uraian. Dan O berutur-turut sebanyak.
Source: id.scribd.com
Selengkapnya soal-soal penilaian harian semester 2 kelas 5 SDMI Kurikulum 2013 Tema 9 Benda-Benda di Sekitar Kita yang belum disertai dengan kunci dapat dilihat melalui link berikut ini. Materi Ipa Kelas 9 adalah salah satu pebelajaran bagi siswa dan siswi kelas 9 SMPMTs tentang materi IPA atau sebagai ringkasan Materi Ilmiah Kelas 9. Kedaulatan berkaitan dengan kekuasaan negara sehingga. Hakikat dan Teori Kedaulatan. Kedaulatan berasal dari bahasa Arabyaitu daulah yang berarti keuasaan Dalam bahasa Inggris disebut dengan souverginty yang berarti tertinggiDapat disimpulkan bahwa kedaulatan adalah suatu keadaan yang menyangkut kekuasaan tertinggi.
This site is an open community for users to share their favorite wallpapers on the internet, all images or pictures in this website are for personal wallpaper use only, it is stricly prohibited to use this wallpaper for commercial purposes, if you are the author and find this image is shared without your permission, please kindly raise a DMCA report to Us.
If you find this site convienient, please support us by sharing this posts to your own social media accounts like Facebook, Instagram and so on or you can also bookmark this blog page with the title ringkasan dan soal plkj kelas 9 by using Ctrl + D for devices a laptop with a Windows operating system or Command + D for laptops with an Apple operating system. If you use a smartphone, you can also use the drawer menu of the browser you are using. Whether it’s a Windows, Mac, iOS or Android operating system, you will still be able to bookmark this website.





