Soal Dan Pembahasan Materi Fluida Dinamis.
Pin Di Video Fisika Kelas X From id.pinterest.com
Source: fokusfisika.com
Source: fokusfisika.com
Source: id.pinterest.com
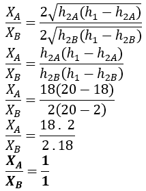
Source: gurumuda.net
Source: id.pinterest.com
Source: id.pinterest.com
Source: filosofiberselimutmatematika.blogspot.com
Source: slideshare.net
Source: filosofiberselimutmatematika.blogspot.com
Source: id.pinterest.com
Source: id.pinterest.com
Source: id.pinterest.com
Source: id.pinterest.com
Source: id.pinterest.com
Source: filosofiberselimutmatematika.blogspot.com
Source: solusifisika.com
Source: gurumuda.net
Source: id.pinterest.com
This site is an open community for users to do sharing their favorite wallpapers on the internet, all images or pictures in this website are for personal wallpaper use only, it is stricly prohibited to use this wallpaper for commercial purposes, if you are the author and find this image is shared without your permission, please kindly raise a DMCA report to Us.
If you find this site serviceableness, please support us by sharing this posts to your preference social media accounts like Facebook, Instagram and so on or you can also save this blog page with the title soal dan pembahasan materi fluida dinamis by using Ctrl + D for devices a laptop with a Windows operating system or Command + D for laptops with an Apple operating system. If you use a smartphone, you can also use the drawer menu of the browser you are using. Whether it’s a Windows, Mac, iOS or Android operating system, you will still be able to bookmark this website.




