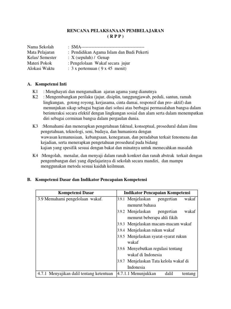
Soal Materi Pai Sma Penelolaan Wakaf. Berikut ini contoh soal LKS PG dan Essay PAI Pendidikan Agama Islam kelas X Semester dua dan kunci jawabannya untuk siswa SMAMAMAKMTsSederajat. Hal tersebut diharapkan mampu menjadi solusi dari sebagian lain masyarakat Indonesia yang hidup dalam kemiskinan. Paradigma yang keliru tentang wakaf menjadi kendala bagi pengelolaan wakaf di Indonesia sehingga saat ini diperkirakan sekitar 76 persen wakaf di Indonesia tidak dikelola dengan baik. 3 X MIPA 6 BERANDA PENGANTAR KD INDIKATOR PETA KONSEP MATERI LATIHAN SOAL REFERENSI PENYUSUN Pendidikan Agama Islam Pendidikan Agama Islam dan Budi Pekerti untuk SMA Kelas X SMAN.
Soal Zakat Dan Wakaf Soalna Dubai Khalifa From dubaikhalifas.com
Kementerian Pendidikan dan Kebudayaan RI edisi Revisi 2017 dan. - Mempresentsikan pengelolaan wakaf D. Berikut ini contoh soal LKS PG dan Essay PAI Soal pengelolaan Wakaf kelas X Semester dua dan kunci jawabannya untuk siswa SMAMAMAKMTsSederajat. 10 contoh soal agama bab wakaf beserta jawabannya wakaf menurut bahasa memiliki arti al habs dan al man u. 32 Tahun 2000. - Pengelolaan wakaf dengan penuh amanah 3.
MATERI PAI SMASMK K13 Kelas X_revisi 2017_Kemdikbud RI.
Di Indonesia telah disusun undang-undang yang mengatur tentang pengelolaan zakat yakni UU no. Sebagai bahan menghadapi pelaksanaan pat atau us uas smp mts kelas 9 ix berikut kumpulan latihan soal pat us uas smp mts kelas 9 ix tahun 2020 atau kumpulan soal latihan pat us uas smp mts kelas 9 ix tahun 2020 mudah mudahan mempelajari latihan ini para siswa smp mts kelas 9 ix dapat lulus dari. SMAN 26 BANDUNG Jl. Zakat haji dan wakaf. 23 Tahun 2011 B. Soal Latihan PAI Tentang Zakat Wakaf dan Haji Umrah Kelas X SMASMK K 13.
Source: kisikisisoaldanmateripelajaran366.blogspot.com
- Mempresentsikan pengelolaan wakaf D. Yang termasuk benda tidak bergerak adalah kecuali. Kementerian Pendidikan dan Kebudayaan RI edisi Revisi 2017 dan. Soal latihan pai tentang zakat wakaf dan haji umrah kelas x sma smk k 13. SMAN 26 BANDUNG Jl.
Source: id.scribd.com
Materi Wakaf Meningkatnya orang-orang kaya muslim tentu saja perlu mendapat apresiasi dari semua kalangan. Bahan Wakaf Uu Wakaf File Presentasi Wakaf By Soal Terbaru Last updated 6 Feb 2019 29 0 Materi wakaf saya tulis ulang sebagai rujukan bacaan untuk mata pelajaran PAI dalam postingan ini juga saya sisipkan file UU RI Nomor 41 tahun 2014 perihal wakaf serta file presentasi power point wakaf. Berisikan materi soal yang berbeda dengan contoh soal pai kelas 10 semester 2 beserta jawabannya pilihan ganda bagian kedua soal nomor 16 30 soal pg agama kelas x semester genap kurikulum 2013 berisikan materi yang sama dengan essay ketiga soal tentang zakat dan wakaf. Kumpulan Soal SD SMP SMA SMK. Simak Soal Pengelolaan Wakaf dan Jawaban.
Source: id.scribd.com
Kementerian Agama RI edisi Revisi 2019 Berikut adalah. Soal latihan pai tentang zakat wakaf dan haji umrah kelas x sma smk k 13. Tingkat SMP TP 2015-2016 Berpikir Kritis dan konsep Demokratis Kisi-kisi Soal PAI Tingkat SD TP 2015-2016 Kisi-kisi Soal PAI Tingkat SMA TP 2015-2016 KISI KISI SOAL USB PAI SMK 2015. Soal USBN Pendidikan Agama Islam 2020. Apa yang dimaksud dengan wakaf.
Source: ilmusosial.id
Soal USBN Pendidikan Agama Islam 2020. Yang termasuk benda tidak bergerak adalah kecuali. Soal USBN Pendidikan Agama Islam 2020. Wakaf adalah Sedekah Jariyah yakni menyedekahkan harta kita untuk kepentingan ummat. SMAN 26 BANDUNG Jl.
Source: cute766.info
Simulasi ikrar wakaf 6. Paradigma yang keliru tentang wakaf menjadi kendala bagi pengelolaan wakaf di Indonesia sehingga saat ini diperkirakan sekitar 76 persen wakaf di Indonesia tidak dikelola dengan baik. 105 Contoh Soal Essay PAI Kelas 10 SMAMA dan Kunci Jawabnya Terbaru - Assalammualaikum adik adik yang baik hati pada kesemptan kali ini kakak ingin berbagi soal Essay tentang pendidikan Agama Islam Untuk adik adik yang sedang duduk dibangku kelas 10 SMAMA soal ini sudah admin susun sebanyak 105 soal yang siap dijadikan sebagai bahan latihan adik adik sebelum. Di Indonesia telah disusun undang-undang yang mengatur tentang pengelolaan zakat yakni UU no. - Pengelolaan wakaf dengan penuh amanah 3.
Source: dubaikhalifas.com
Kompetensi Dasar Materi Pokok Indikator Soal No. Betapa tidak dari mereka diharapkan terjadi jembatan penghubung antara orang-orang kaya agniya dengan orang-orang miskin. Berisikan materi soal yang berbeda dengan contoh soal pai kelas 10 semester 2 beserta jawabannya pilihan ganda bagian kedua soal nomor 16 30 soal pg agama kelas x semester genap kurikulum 2013 berisikan materi yang sama dengan essay ketiga soal tentang zakat dan wakaf. Kontrol Diri Husnuzhan dan Persaudaraan Lihat video. Pada kesempatan kali ini admin akan membagikan soal - soal latihan di mapel PAI yang bisa sobat jadikan referensi.
Source: id.scribd.com
Kompetensi Dasar Materi Pokok Indikator Soal No. Kompetensi Dasar Materi Pokok Indikator Soal No. Sebagai bahan menghadapi pelaksanaan pat atau us uas smp mts kelas 9 ix berikut kumpulan latihan soal pat us uas smp mts kelas 9 ix tahun 2020 atau kumpulan soal latihan pat us uas smp mts kelas 9 ix tahun 2020 mudah mudahan mempelajari latihan ini para siswa smp mts kelas 9 ix dapat lulus dari. - Pengelolaan wakaf dengan penuh amanah 3. Kementerian Pendidikan dan Kebudayaan RI edisi Revisi 2017 dan.
Source: id.scribd.com
Kontrol Diri Husnuzhan dan Persaudaraan Lihat video. Tata cara pengelolaan wakaf 5. Menjelaskan perundang-undangan tentang pengelolaan. - Mempresentsikan pengelolaan wakaf D. Kontrol Diri Husnuzhan dan Persaudaraan Lihat video.
Source: bacaanmadani.com
- Pengelolaan wakaf dengan penuh amanah 3. Soal Pilihan Ganda Objektif 1Perhatikan potongan ayat berikut. Kumpulan soal dan jawaban tentang bab wakaf 1. 32 Tahun 2000. Rangkuman Materi Agama Islam kelas 10 Bab 8 Hikmah Ibadah Haji Zakat dan Wakaf dalam Kehidupan terdapat pada buku siswa Pendidikan Agama Islam dan Budi Pekerti Kelas 10 tingkat SMAMASMK Halaman 139 Kurikulum 2013.
Source: 123dok.com
Wakaf adalah Sedekah Jariyah yakni menyedekahkan harta kita untuk kepentingan ummat. Pengelolaan Wakaf Pilihan Ganda 1-20. Berikut ini contoh soal LKS PG dan Essay PAI Pendidikan Agama Islam kelas X Semester dua dan kunci jawabannya untuk siswa SMAMAMAKMTsSederajat. If i come to indonesia. SMAN 26 BANDUNG Jl.
Source: anyflip.com
Soal UKKPAT Pendidikan Agama Islam PAI Kelas 10 SMA kurikulum 2013 terbaru 2021. Rangkuman Materi Agama Islam kelas 10 Bab 8 Hikmah Ibadah Haji Zakat dan Wakaf dalam Kehidupan terdapat pada buku siswa Pendidikan Agama Islam dan Budi Pekerti Kelas 10 tingkat SMAMASMK Halaman 139 Kurikulum 2013. Tata cara pengelolaan wakaf dalam masyarakat Dalil-dalil tentang wakaf adalah sebagai. 3 X MIPA 6 BERANDA PENGANTAR KD INDIKATOR PETA KONSEP MATERI LATIHAN SOAL REFERENSI PENYUSUN Pendidikan Agama Islam Pendidikan Agama Islam dan Budi Pekerti untuk SMA Kelas X SMAN. Pada kesempatan kali ini admin akan membagikan soal - soal latihan di mapel PAI yang bisa sobat jadikan referensi.
Source: cute766.info
Menjelaskan ketentuan wakaf dengan benar 3. Kontrol Diri Husnuzhan dan Persaudaraan Lihat video. Bank soal atau berkas soal yang telah disediakan semuanya error-free jadi kamu bisa bebas saja dengan mengambil namun jangan lupa untuk dibagikan sesama teman agar manfaatnya lebih lagi. Hal tersebut diharapkan mampu menjadi solusi dari sebagian lain masyarakat Indonesia yang hidup dalam kemiskinan. Yang termasuk benda tidak bergerak adalah kecuali.
Source: dubaikhalifas.com
Kumpulan Soal SD SMP SMA SMK. Wakaf adalah Sedekah Jariyah yakni menyedekahkan harta kita untuk kepentingan ummat. - Mempresentsikan pengelolaan wakaf D. Soal Latihan PAI Tentang Zakat Wakaf dan Haji Umrah Kelas X SMASMK K 13. 23 Tahun 2011 B.
Source: ilmusosial.id
Paradigma yang keliru tentang wakaf menjadi kendala bagi pengelolaan wakaf di Indonesia sehingga saat ini diperkirakan sekitar 76 persen wakaf di Indonesia tidak dikelola dengan baik. 32 Tahun 2000. Kumpulan soal dan jawaban tentang bab wakaf 1. MATERI PAI SMASMK K13 Kelas X_revisi 2017_Kemdikbud RI. Kementerian Agama RI edisi Revisi 2019 Berikut adalah.
Source: id.scribd.com
Bank soal atau berkas soal yang telah disediakan semuanya error-free jadi kamu bisa bebas saja dengan mengambil namun jangan lupa untuk dibagikan sesama teman agar manfaatnya lebih lagi. Di Indonesia telah disusun undang-undang yang mengatur tentang pengelolaan zakat yakni UU no. Paradigma yang keliru tentang wakaf menjadi kendala bagi pengelolaan wakaf di Indonesia sehingga saat ini diperkirakan sekitar 76 persen wakaf di Indonesia tidak dikelola dengan baik. Zakat haji dan wakaf. Yang termasuk benda tidak bergerak adalah kecuali.
Source: id.scribd.com
Materi Wakaf Meningkatnya orang-orang kaya muslim tentu saja perlu mendapat apresiasi dari semua kalangan. If i come to indonesia. Bahan Wakaf Uu Wakaf File Presentasi Wakaf By Soal Terbaru Last updated 6 Feb 2019 29 0 Materi wakaf saya tulis ulang sebagai rujukan bacaan untuk mata pelajaran PAI dalam postingan ini juga saya sisipkan file UU RI Nomor 41 tahun 2014 perihal wakaf serta file presentasi power point wakaf. - Mempresentsikan pengelolaan wakaf D. Materi PAI SMASMK K13 Kelas X yang ada di sini terdiri dari 2 versi.
Source: anyflip.com
- Mempresentsikan pengelolaan wakaf D. Hal tersebut diharapkan mampu menjadi solusi dari sebagian lain masyarakat Indonesia yang hidup dalam kemiskinan. 3 X MIPA 6 BERANDA PENGANTAR KD INDIKATOR PETA KONSEP MATERI LATIHAN SOAL REFERENSI PENYUSUN Pendidikan Agama Islam Pendidikan Agama Islam dan Budi Pekerti untuk SMA Kelas X SMAN. Tata cara pengelolaan wakaf dalam masyarakat Dalil-dalil tentang wakaf adalah sebagai. Wakaf adalah Sedekah Jariyah yakni menyedekahkan harta kita untuk kepentingan ummat.
Source: academia.edu
Menjelaskan perundang-undangan tentang pengelolaan. SMAN 26 BANDUNG Jl. Berikut ini contoh soal LKS PG dan Essay PAI Pendidikan Agama Islam kelas X Semester dua dan kunci jawabannya untuk siswa SMAMAMAKMTsSederajat. 105 Contoh Soal Essay PAI Kelas 10 SMAMA dan Kunci Jawabnya Terbaru - Assalammualaikum adik adik yang baik hati pada kesemptan kali ini kakak ingin berbagi soal Essay tentang pendidikan Agama Islam Untuk adik adik yang sedang duduk dibangku kelas 10 SMAMA soal ini sudah admin susun sebanyak 105 soal yang siap dijadikan sebagai bahan latihan adik adik sebelum. 26 Cipadung MULTIMEDIA INTERAKTIF Oleh.
This site is an open community for users to do sharing their favorite wallpapers on the internet, all images or pictures in this website are for personal wallpaper use only, it is stricly prohibited to use this wallpaper for commercial purposes, if you are the author and find this image is shared without your permission, please kindly raise a DMCA report to Us.
If you find this site good, please support us by sharing this posts to your own social media accounts like Facebook, Instagram and so on or you can also save this blog page with the title soal materi pai sma penelolaan wakaf by using Ctrl + D for devices a laptop with a Windows operating system or Command + D for laptops with an Apple operating system. If you use a smartphone, you can also use the drawer menu of the browser you are using. Whether it’s a Windows, Mac, iOS or Android operating system, you will still be able to bookmark this website.




