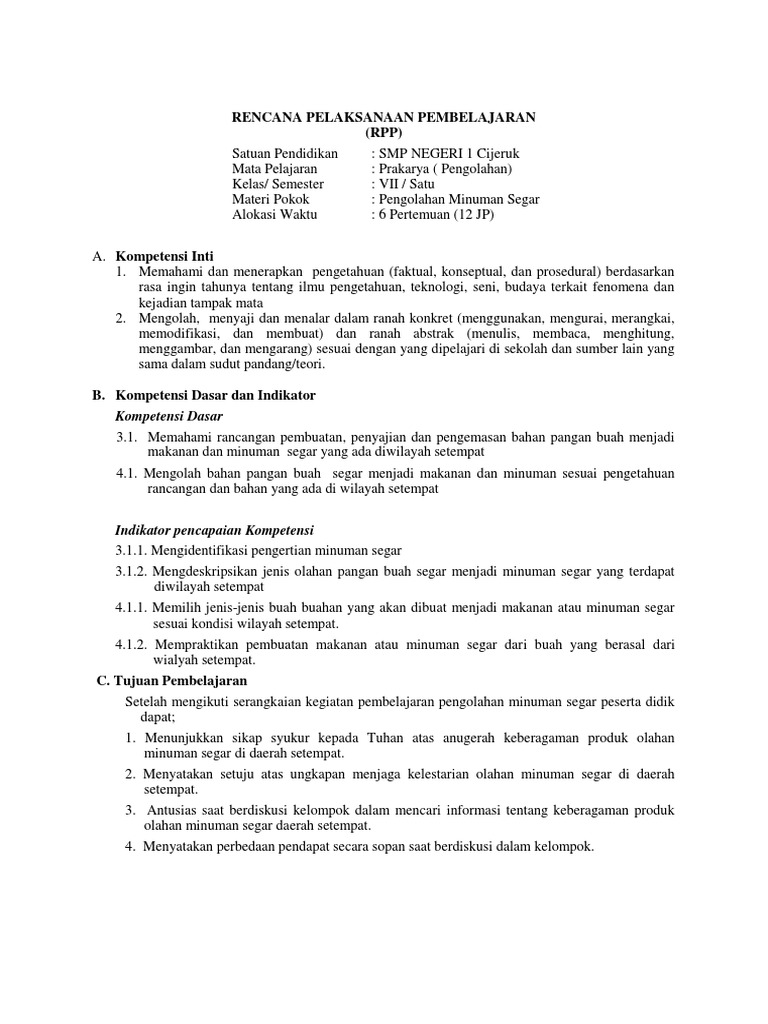
Soal Prakarya Pengolahan Kelas 9 Semester 2 Dan Kunci Jawaban. Semoga soal pas prakarya kelas 9 semester 2 kurikulum 2013 ini dapat bermanfaat. Jangan lupa cek soal essay prakarya kelas 9 semester 2 dan kunci jawaban lainnya. Kali ini penulis akan membagikan soal prakarya kelas 9 semester 2 dan kunci jawaban untuk dapat kalian pelajari untuk menghadapi. Kumpulan soal dan kunci jawaban prakarya kelas 9 semester 2Kumpulan soal matematika smp kelas 7 semester 1.
Rpp Daring Geografi Kelas Xi Semester 1 Geografi Sekolah Rencana Pembelajaran From id.pinterest.com
Contoh soal beserta jawaban dibuat dengan pendekatan ilmiah dan profesional. Soal dan Kunci Jawaban PAT Prakarya Kelas 8 Kurikulum 2013K13 yang kami bagikan ini merupakan contoh soal yang dapat dimanfaatkan oleh siswa maupun guru mata pelajaran Prakarya atau guru kelas sebagai suatu contoh atau pandangan untuk membuat Soal PAT Prakarya Kelas 8 Semester GenapSeperti yang kita ketahui bahwa tugas seorang pendidik atau guru tidak hanya mengajar dan. Oleh karena itu bapak dan ibu guru harus mempersiapkan kembali Penilaian Tengah Semester PTS. Contoh soal essay prakarya kelas 9 semester 1 beserta jawaban kurikulum 2013 smpmtsbagian 3 halo selamat datang kembali di blog tentang soal sekolah kali ini admin akan mempublish lanjutan soal essai prakarya kelas ix semester ganjil bagian ke 1 dan bagian ke 2 soal nomor 16 35 bagian ketiga berisikan materi yang. Kumpulan Soal dan Kunci Jawaban PTS Prakarya SMP Kelas 7 Semester Genap Tidak terasa semester genap telah berjalan hampir setengah semester. 2592018 70 Contoh Soal PG Prakarya Kelas 10 SMAMA dan Kunci Jawabnya Terbaru - Adik adik yang baik hati kakak akan berbagi contoh soal latihan sebanyak 70 soal dalam bentuk pilihan ganda soal ini dikhususkan untuk adik adik yang duduk dibangku kelas 10 SMAMA Soal yang kakak bagikan ini sudah terbasuk jawaban dan pembahasan sehingga bisa dijadikan sebagai.
Tanpa adanya kunci jawaban maupun pembahasan.
Soal Prakarya Kelas 9 Semester 2 Dan Kunci Jawaban Revisi 2021Contoh soal pg prakarya kelas 9 semester 1 beserta jawaban kurikulum 2013 smpmtsbagian 3 melanjutkan soal pg prakarya kelas ix semester ganjil k13 bagian ke 1 dan bagian ke 2 soal nomor 11 20 bagian ketiga berisikan materi yang sama yaitu diambil dari bab 1 kerajinan bahan keras dengan soal soal seperti. Contoh soal essay prakarya kelas 9 semester 1 beserta jawaban kurikulum 2013 smpmtsbagian 3 halo selamat datang kembali di blog tentang soal sekolah kali ini admin akan mempublish lanjutan soal essai prakarya kelas ix semester ganjil bagian ke 1 dan bagian ke 2 soal nomor 16 35 bagian ketiga berisikan materi yang. 2022021 Latihan soal kunci jawaban USBN US UN UTS Prakarya Rekayasa. 40 contoh soal utspts prakarya kelas 9 semester 1 beserta jawaban kurikulum. Soal dan Kunci Jawaban PAS Prakarya SMP Kelas 9 Kurikulum 2013 Tahun Pelajaran 20192020 Soal Penilaian Akhir Semester PAS sangat berarti bagi bapak dan ibu guru untuk dijadikan referensi pada saat Penilaian Akhir Semester tahun berikutnya. 2 Kurikulum 2013 Terbaru 2021.
Source: id.scribd.com
Kami bertujuan untuk jadi fasilitas belajar untuk para siswa yang duduk di bangku Sekolah Menengah Pertama Madrasah Tsanawiyah SMP MTs yang sebentar lagi akan mengalami Penilaian Akhir Semester PAS. CONTOH SOAL DAN KUNCI JAWABAN SIAP UTSPTS SEMESTER II MAPEL PRAKARYA SMPMTs KELAS VIII KURIKULUM 2013. Contoh soal beserta jawaban dibuat dengan pendekatan ilmiah dan profesional. 40 contoh soal utspts prakarya kelas 9 semester 1 beserta jawaban kurikulum. 1582020 Soal dan kunci jawaban pat prakarya smp kelas 8 kurikulum 2013 penilaian akhir tahun pat pada kurikulum 2013 atau ulangan kenaikan kelas ukk pada kurikulum 2006kini memasuki hari keempat kamis 16 mei 2019 dilaksanakan pat dengan mata pelajaran yang diujikan adalah ipa dan prakarya.
Source: slideshare.net
Kemudian tulis nama nomor absen kelas dan tanggal pelaksanaan ulangan harian prakarya. Soal PAS Prakarya Kelas 9 Semester 1 kurikulum 2013 revisi adalah artikel yang akan kami update hari ini. Pada postingan kali ini kami telah menyusun soal-soal serta Kunci Jawaban PAS Prakarya Kelas 9 SMP Tahun 2020-2021. Klasifikasi tumbuhan dan hewan. Oleh karena itu bapak dan ibu guru harus mempersiapkan kembali Penilaian Tengah Semester PTS.
Source: id.scribd.com
Soal dan Kunci Jawaban PAT Prakarya Kelas 8 Kurikulum 2013K13 yang kami bagikan ini merupakan contoh soal yang dapat dimanfaatkan oleh siswa maupun guru mata pelajaran Prakarya atau guru kelas sebagai suatu contoh atau pandangan untuk membuat Soal PAT Prakarya Kelas 8 Semester GenapSeperti yang kita ketahui bahwa tugas seorang pendidik atau guru tidak hanya mengajar dan. Dengan jumlah keseluruhan soal adalah 50 butir soal berformatkan soal pilihan ganda. CONTOH SOAL DAN KUNCI JAWABAN SIAP UTSPTS SEMESTER II MAPEL PRAKARYA SMPMTs KELAS VIII KURIKULUM 2013 WWWINFORMASIGURUCOM DISCLAIMER. Soal dan Kunci Jawaban PAS Prakarya SMP Kelas 9 Semester Ganjil Kurikulum 2013. Semoga soal pas prakarya kelas 9 semester 2 kurikulum 2013 ini dapat bermanfaat.
Source: dubaikhalifas.com
Dan Kunci Jawaban Prakarya Kelas 9 Semester 2 PDF dapat kamu nikmati dengan cara klik link download dibawah dengan mudah tanpa iklan yang mengganggu. Jangan lupa cek soal essay prakarya kelas 9 semester 2 dan kunci jawaban lainnya. 792019 Soal PAS Prakarya Kelas 9 Semester Ganjil Untuk bapak dan ibu guru data seperti kisi-kisi soal dan lembar jawaban soal PAS Penilaian Akhir Semester ini mungkin sangat berarti terutama bagi mereka yang berkasnya hilang karena lupa menyimpan atau dipinjam seseorang dan tidak dikembalikan. Soal dan kunci jawaban pas prakarya smp kelas 9 kurikulum 2013 tahun pelajaran 2019 2020 soal penilaian akhir semester pas sangat berarti bagi bapak dan ibu guru untuk dijadikan referensi pada saat penilaian akhir semester tahun berikutnya. Soal PAS Prakarya Kelas 9 Semester 1 kurikulum 2013 revisi adalah artikel yang akan kami update hari ini.
Source: id.scribd.com
Soal prakarya pengolahan kelas 9 semester 1 dan kunci jawaban. Dengan jumlah keseluruhan soal adalah 50 butir soal berformatkan soal pilihan ganda. Jangan lupa cek soal essay prakarya kelas 9 semester 2 dan kunci jawaban lainnya. 2 Kurikulum 2013 Terbaru 2021. Jawablah pertanyaan berikut ini dengan memilih pernyataan yang paling tepat.
Source: didno76.com
CONTOH SOAL DAN KUNCI JAWABAN SIAP UTSPTS SEMESTER II MAPEL PRAKARYA SMPMTs KELAS VIII KURIKULUM 2013. Contoh soal beserta jawaban dibuat dengan pendekatan ilmiah dan profesional. Klasifikasi tumbuhan dan hewan. Dengan jumlah keseluruhan soal adalah 50 butir soal berformatkan soal pilihan ganda. 1582020 Soal dan kunci jawaban pat prakarya smp kelas 8 kurikulum 2013 penilaian akhir tahun pat pada kurikulum 2013 atau ulangan kenaikan kelas ukk pada kurikulum 2006kini memasuki hari keempat kamis 16 mei 2019 dilaksanakan pat dengan mata pelajaran yang diujikan adalah ipa dan prakarya.
Source: id.scribd.com
Kali ini penulis akan membagikan soal prakarya kelas 9 semester 2 dan kunci jawaban untuk dapat kalian pelajari untuk menghadapi. Oleh karena itu bapak dan ibu guru harus mempersiapkan kembali Penilaian Tengah Semester PTS. Soal dan Kunci Jawaban PAS Prakarya SMP Kelas 9 Kurikulum 2013 Tahun Pelajaran 20192020 Soal Penilaian Akhir Semester PAS sangat berarti bagi bapak dan ibu guru untuk dijadikan referensi pada saat Penilaian Akhir Semester tahun berikutnya. Semoga soal pas prakarya kelas 9 semester 2 kurikulum 2013 ini dapat bermanfaat. Tanpa adanya kunci jawaban maupun pembahasan.
Source: pinterest.com
40 contoh soal utspts prakarya kelas 9 semester 1 beserta jawaban kurikulum. 792019 Soal PAS Prakarya Kelas 9 Semester Ganjil Untuk bapak dan ibu guru data seperti kisi-kisi soal dan lembar jawaban soal PAS Penilaian Akhir Semester ini mungkin sangat berarti terutama bagi mereka yang berkasnya hilang karena lupa menyimpan atau dipinjam seseorang dan tidak dikembalikan. Soal dan Kunci Jawaban PAT Prakarya Kelas 8 Kurikulum 2013K13 yang kami bagikan ini merupakan contoh soal yang dapat dimanfaatkan oleh siswa maupun guru mata pelajaran Prakarya atau guru kelas sebagai suatu contoh atau pandangan untuk membuat Soal PAT Prakarya Kelas 8 Semester GenapSeperti yang kita ketahui bahwa tugas seorang pendidik atau guru tidak hanya mengajar dan. Kumpulan Soal dan Kunci Jawaban PTS Prakarya SMP Kelas 7 Semester Genap Tidak terasa semester genap telah berjalan hampir setengah semester. Klasifikasi tumbuhan dan hewan.
Source: id.scribd.com
792019 Soal PAS Prakarya Kelas 9 Semester Ganjil Untuk bapak dan ibu guru data seperti kisi-kisi soal dan lembar jawaban soal PAS Penilaian Akhir Semester ini mungkin sangat berarti terutama bagi mereka yang berkasnya hilang karena lupa menyimpan atau dipinjam seseorang dan tidak dikembalikan. CONTOH SOAL DAN KUNCI JAWABAN SIAP UTSPTS SEMESTER II MAPEL PRAKARYA SMPMTs KELAS VIII KURIKULUM 2013 WWWINFORMASIGURUCOM DISCLAIMER. 45 contoh soal utspts prakarya kelas 8 semester 1 beserta jawaban kurikulum 2013 smpmts halo selamat datang kembali di blog soal soal sekolah postingan ulangan tengah semester ganjil atau penilaian tengah semester mapel prakarya ini berisikan materi bab 1 soal tentang pengolahan produk kerajinan dan bahan lunak sampai dengan bab 2 soal tentang sistem teknologi informasi dan. Tanpa adanya kunci jawaban maupun pembahasan. Dan Kunci Jawaban Prakarya Kelas 9 Semester 2 PDF dapat kamu nikmati dengan cara klik link download dibawah dengan mudah tanpa iklan yang mengganggu.
Source: id.scribd.com
Klasifikasi tumbuhan dan hewan. Soal dan Kunci Jawaban PAS Prakarya SMP Kelas 9 Kurikulum 2013 Tahun Pelajaran 20192020 Soal Penilaian Akhir Semester PAS sangat berarti bagi bapak dan ibu guru untuk dijadikan referensi pada saat Penilaian Akhir Semester tahun berikutnya. 2592018 70 Contoh Soal PG Prakarya Kelas 10 SMAMA dan Kunci Jawabnya Terbaru - Adik adik yang baik hati kakak akan berbagi contoh soal latihan sebanyak 70 soal dalam bentuk pilihan ganda soal ini dikhususkan untuk adik adik yang duduk dibangku kelas 10 SMAMA Soal yang kakak bagikan ini sudah terbasuk jawaban dan pembahasan sehingga bisa dijadikan sebagai. Oleh karena itu bapak dan ibu guru harus mempersiapkan kembali Penilaian Tengah Semester PTS. 2022021 Latihan soal kunci jawaban USBN US UN UTS Prakarya Rekayasa.
Source: ditsmp.kemdikbud.go.id
Kemudian tulis nama nomor absen kelas dan tanggal pelaksanaan ulangan harian prakarya. Kumpulan Soal dan Kunci Jawaban PTS Prakarya SMP Kelas 7 Semester Genap Tidak terasa semester genap telah berjalan hampir setengah semester. Oleh karena itu bapak dan ibu guru harus mempersiapkan kembali Penilaian Tengah Semester PTS. Soal dan Kunci Jawaban PAT Prakarya Kelas 8 Kurikulum 2013K13 yang kami bagikan ini merupakan contoh soal yang dapat dimanfaatkan oleh siswa maupun guru mata pelajaran Prakarya atau guru kelas sebagai suatu contoh atau pandangan untuk membuat Soal PAT Prakarya Kelas 8 Semester GenapSeperti yang kita ketahui bahwa tugas seorang pendidik atau guru tidak hanya mengajar dan. Jangan lupa cek soal essay prakarya kelas 9 semester 2 dan kunci jawaban lainnya.
Source: slideshare.net
Soal dan kunci jawaban pas prakarya smp kelas 9 kurikulum 2013 tahun pelajaran 2019 2020 soal penilaian akhir semester pas sangat berarti bagi bapak dan ibu guru untuk dijadikan referensi pada saat penilaian akhir semester tahun berikutnya. 792019 Soal PAS Prakarya Kelas 9 Semester Ganjil Untuk bapak dan ibu guru data seperti kisi-kisi soal dan lembar jawaban soal PAS Penilaian Akhir Semester ini mungkin sangat berarti terutama bagi mereka yang berkasnya hilang karena lupa menyimpan atau dipinjam seseorang dan tidak dikembalikan. Contoh soal essay prakarya kelas 9 semester 1 beserta jawaban kurikulum 2013 smpmtsbagian 3 halo selamat datang kembali di blog tentang soal sekolah kali ini admin akan mempublish lanjutan soal essai prakarya kelas ix semester ganjil bagian ke 1 dan bagian ke 2 soal nomor 16 35 bagian ketiga berisikan materi yang. Soal dan Kunci Jawaban PAS Prakarya SMP Kelas 9 Kurikulum 2013 Tahun Pelajaran 20192020 Soal Penilaian Akhir Semester PAS sangat berarti bagi bapak dan ibu guru untuk dijadikan referensi pada saat Penilaian Akhir Semester tahun berikutnya. Soal PAS Prakarya Kelas 9 Semester 1 kurikulum 2013 revisi adalah artikel yang akan kami update hari ini.
Source: slideshare.net
Soal prakarya pengolahan kelas 9 semester 1 dan kunci jawaban. Contoh soal pg prakarya kelas 9 semester 1 beserta jawaban kurikulum 2013 smp mts selamat datang di blog soaldenganpembahasan kali ini admin akan memposting soal soal pilihan ganda kelas ix semester ganjil k13 edisi revisi untuk siswa smp mts. Download Kumpulan Soal Dan Kunci Jawaban Prakarya Kelas 9 Semester 2 PDF 1800 MB - SamPDF. 24112020 Contoh soal ini sudah dilengkapi beserta kunci jawaban prakarya kelas 9 semester 2. Oleh karena itu bapak dan ibu guru harus mempersiapkan kembali Penilaian Tengah Semester PTS.
Source: slideshare.net
Pada postingan kali ini kami telah menyusun soal-soal serta Kunci Jawaban PAS Prakarya Kelas 9 SMP Tahun 2020-2021. 2592018 70 Contoh Soal PG Prakarya Kelas 10 SMAMA dan Kunci Jawabnya Terbaru - Adik adik yang baik hati kakak akan berbagi contoh soal latihan sebanyak 70 soal dalam bentuk pilihan ganda soal ini dikhususkan untuk adik adik yang duduk dibangku kelas 10 SMAMA Soal yang kakak bagikan ini sudah terbasuk jawaban dan pembahasan sehingga bisa dijadikan sebagai. 24112020 Contoh soal ini sudah dilengkapi beserta kunci jawaban prakarya kelas 9 semester 2. Oleh karena itu bapak dan ibu guru harus mempersiapkan kembali Penilaian Tengah Semester PTS. Tanpa adanya kunci jawaban maupun pembahasan.
Source: id.pinterest.com
2 Kurikulum 2013 Terbaru 2021. Kami bertujuan untuk jadi fasilitas belajar untuk para siswa yang duduk di bangku Sekolah Menengah Pertama Madrasah Tsanawiyah SMP MTs yang sebentar lagi akan mengalami Penilaian Akhir Semester PAS. Oleh karena itu bapak dan ibu guru harus mempersiapkan kembali Penilaian Tengah Semester PTS. Dengan jumlah keseluruhan soal adalah 50 butir soal berformatkan soal pilihan ganda. Kumpulan soal dan kunci jawaban prakarya kelas 9 semester 2Kumpulan soal matematika smp kelas 7 semester 1.
Source: id.scribd.com
Soal dan Kunci Jawaban PAS Prakarya SMP Kelas 9 Semester Ganjil Kurikulum 2013. Soal dan Kunci Jawaban PAS Prakarya SMP Kelas 9 Kurikulum 2013 Tahun Pelajaran 20192020 Soal Penilaian Akhir Semester PAS sangat berarti bagi bapak dan ibu guru untuk dijadikan referensi pada saat Penilaian Akhir Semester tahun berikutnya. Contoh soal essay prakarya kelas 9 semester 1 beserta jawaban kurikulum 2013 smpmtsbagian 3 halo selamat datang kembali di blog tentang soal sekolah kali ini admin akan mempublish lanjutan soal essai prakarya kelas ix semester ganjil bagian ke 1 dan bagian ke 2 soal nomor 16 35 bagian ketiga berisikan materi yang. CONTOH SOAL DAN KUNCI JAWABAN SIAP UTSPTS SEMESTER II MAPEL PRAKARYA SMPMTs KELAS VIII KURIKULUM 2013. Download Kumpulan Soal Dan Kunci Jawaban Prakarya Kelas 9 Semester 2 PDF 1800 MB - SamPDF.
Source: dubaikhalifas.com
Contoh soal essay prakarya kelas 9 semester 1 beserta jawaban kurikulum 2013 smpmtsbagian 3 halo selamat datang kembali di blog tentang soal sekolah kali ini admin akan mempublish lanjutan soal essai prakarya kelas ix semester ganjil bagian ke 1 dan bagian ke 2 soal nomor 16 35 bagian ketiga berisikan materi yang. 40 contoh soal utspts prakarya kelas 9 semester 1 beserta jawaban kurikulum. Semoga soal pas prakarya kelas 9 semester 2 kurikulum 2013 ini dapat bermanfaat. 2022021 Latihan soal kunci jawaban USBN US UN UTS Prakarya Rekayasa. Soal prakarya pengolahan kelas 9 semester 1 dan kunci jawaban.
Source: id.scribd.com
Klasifikasi tumbuhan dan hewan. Download Kumpulan Soal Dan Kunci Jawaban Prakarya Kelas 9 Semester 2 PDF 1800 MB - SamPDF. 45 contoh soal utspts prakarya kelas 8 semester 1 beserta jawaban kurikulum 2013 smpmts halo selamat datang kembali di blog soal soal sekolah postingan ulangan tengah semester ganjil atau penilaian tengah semester mapel prakarya ini berisikan materi bab 1 soal tentang pengolahan produk kerajinan dan bahan lunak sampai dengan bab 2 soal tentang sistem teknologi informasi dan. Dengan jumlah keseluruhan soal adalah 50 butir soal berformatkan soal pilihan ganda. Jangan lupa cek soal essay prakarya kelas 9 semester 2 dan kunci jawaban lainnya.
This site is an open community for users to do submittion their favorite wallpapers on the internet, all images or pictures in this website are for personal wallpaper use only, it is stricly prohibited to use this wallpaper for commercial purposes, if you are the author and find this image is shared without your permission, please kindly raise a DMCA report to Us.
If you find this site beneficial, please support us by sharing this posts to your preference social media accounts like Facebook, Instagram and so on or you can also save this blog page with the title soal prakarya pengolahan kelas 9 semester 2 dan kunci jawaban by using Ctrl + D for devices a laptop with a Windows operating system or Command + D for laptops with an Apple operating system. If you use a smartphone, you can also use the drawer menu of the browser you are using. Whether it’s a Windows, Mac, iOS or Android operating system, you will still be able to bookmark this website.



