Soal Tes Lisan Tentang Metode Ilmiah. Ilmu Pengetahuan Alam Bahan KelasSemester. Pilihan Ganda Buku. A2JenisKaryaTulisIlmiahdi bidangPendidikan Jeniskaryailmiah hasilpeneli1an. Jelakan manfaat mempelajari sarana berfikir ilmiah.
Contoh Teks Prosedur Dalam Kehidupan Sehari Hari Halaman All Kompas Com From kompas.com
Ilmu Pengetahuan Alam Bahan KelasSemester. Bentuk butir soal pada instrumen tes literasi yang dikembangkan bervariasi. Kuesioner adalah sejumlah pertanyaan tertulis yang digunakan untuk memperoleh informasi dari responden. PETUNJUK UMUM Tulis namamu di sudut kanan atas. Menurut Jujun S Suria-sumantri metode keilmuan ini merupakan gabungan antara pendekatan rasional dan empiris. Jawablah soal-soal berikut ini dengan tepat.
2022021 Pada artikel ini kami membagikan contoh soal Sosiologi kelas 10 semester 2 tentang Penelitian Sosial.
D3 Akuntansi Mata KuliahKode. Statistik Deskriptif Deskripsi Mata Kuliah. PETUNJUK A soal no. Guru Pegawai Pemerintah dengan Perjanjian Kerja yang selanjutnya disingkat Guru PPPK adalah warga negara Indonesia yang memenuhi syarat tertentu yang diangkat berdasarkan guru dengan status perjanjian kerja untuk jangka waktu tertentu dalam rangka melaksanakan tugas pemerintahan. Ulangan harian Contoh soal. Cuplikan Butir Soal Nomor 1 Instrumen Tes Literasi Sains untuk Indikator Literasi Sains 1.
Source:
Jelaskan pengertian dari sarana berfikir ilmiah. Sebutkan peranan ilmu kimia dalam bidang pertanian. Mengapa logika dijadikan sebagai sarana berfikir ilmiah. 3 SKS Prasyarat. Latihan Soal Tes Seleksi PPPK Guru Biologi SMA SMK Tahun 2021-2022.
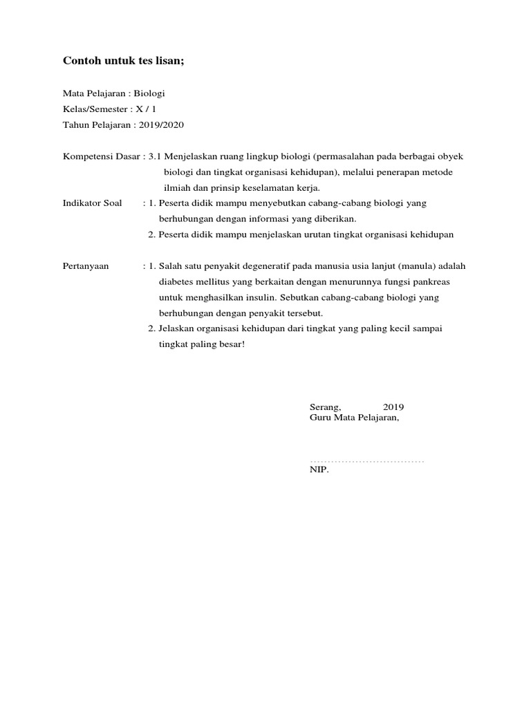
Source: id.scribd.com
Sebutkan peranan ilmu kimia dalam bidang pertanian. A2JenisKaryaTulisIlmiahdi bidangPendidikan Jeniskaryailmiah hasilpeneli1an. Berikut ini adalah beberapa contoh soal tes Bahasa Indonesia jenjang SMA untuk uji kompetensi guru. Teknik-teknik untuk melakukan pemeriksaan psikologis guna menemukan sifat-sifat yang mendasari kepribadian tertentu terutama yang mengarah pada kelainan-kelainan tertentu yaitu. Mengidentifikasi obyek secara terencana dan sistematis untuk memperoleh informasi gejala alam biotik Materi Metode ilmiah Penyusun Tahun Pelajaran Bentuk Tes No.
Source: kompas.com
Butir soal nomor 1 berkaitan dengan karakteristik kingdom monera dapat dilihat pada Gambar 1. Sekolah tidak efektif C. Mengidentifikasi obyek secara terencana dan sistematis untuk memperoleh informasi gejala alam biotik Materi Metode ilmiah Penyusun Tahun Pelajaran Bentuk Tes No. Kepuasan kerja guru adalah keseluruhan perasaan guru berkenaan dengan berbagai aspek pekerjaanya 5. Tentang Ruang Lingkup Metode Berfikir Ilmiah Sikap.
Source: materibindo.com
20 contoh soal pilihan ganda metode ilmiah. A2JenisKaryaTulisIlmiahdi bidangPendidikan Jeniskaryailmiah hasilpeneli1an. Pilihan Ganda Buku. PETUNJUK UMUM Tulis namamu di sudut kanan atas. Jelaskan apa yang dipelajari dalam ilmu kimia.
Source: slideshare.net
Bentuk butir soal pada instrumen tes literasi yang dikembangkan bervariasi. Metode penulisan ilmiah adalah mata kuliah keahlian yang berisi materi tentang kaidah ilmiah makna penelitian serta implementasi. Hipotesis merupakan dugaan atau jawaban sementara terhadap permasalahan yang diajukan. Cara menyelesaikan masalah dalam kajian ilmiah adalah dengan mempergunakan pengetahuan ilmiah sebagai dasar argumentasi dalam mengkaji persoalan agar kita mendapatkan jawaban yang dapat diandalkan. Tulisan ilmiah yang dituangkan pada surat kabar harian kompas adalah termasuk karya.
Source: slideshare.net
Contoh Soal Beserta Jawaban Tentang Karya Ilmia Link Guru Disini saya akan share tentang soal soal yang saya telah buat. Cara menyelesaikan masalah dalam kajian ilmiah adalah dengan mempergunakan pengetahuan ilmiah sebagai dasar argumentasi dalam mengkaji persoalan agar kita mendapatkan jawaban yang dapat diandalkan. PETUNJUK UMUM Tulis namamu di sudut kanan atas. A2JenisKaryaTulisIlmiahdi bidangPendidikan Jeniskaryailmiah hasilpeneli1an. Ini berarti bahwa seseorang akan berhadapan dengan kebenaran hidup yang terpenting D.
Source: slideplayer.info
Pokok-pokok materi Kegiatan Belajar I adalah agar Peserta PPG memahami konsep-konsep esensial dari pengertian konsep metode ilmiah langkah-langkah metode ilmiah penerapan langkah metode ilmiah dalam pembelajaran maupun dalam kehidupan sehari-hari konsep materi dan perubahannya analisis materi fisika dan kimia dalam kehidupan seharihari cara pemisahan. A2JenisKaryaTulisIlmiahdi bidangPendidikan Jeniskaryailmiah hasilpeneli1an. Tentang Ruang Lingkup Metode Berfikir Ilmiah Sikap. PETUNJUK A soal no. Sebut dan jelaskan jenis-jenis sarana berfikir ilmiah.
Source: id.scribd.com
Hasil jawaban latihan soal-soal PR b. Bentuk butir soal pada instrumen tes literasi yang dikembangkan bervariasi. Jelakan manfaat mempelajari sarana berfikir ilmiah. Kuesioner adalah sejumlah pertanyaan tertulis yang digunakan untuk memperoleh informasi dari responden. PETUNJUK A soal no.
Source: slideshare.net
Kuesioner adalah sejumlah pertanyaan tertulis yang digunakan untuk memperoleh informasi dari responden. Kepuasan kerja guru adalah keseluruhan perasaan guru berkenaan dengan berbagai aspek pekerjaanya 5. Tes lisan Tugas Tugas. Model metode dan teknik membaca apakah yang dapat digunakan untuk membaca memindai buku. Kuesioner adalah sejumlah pertanyaan tertulis yang digunakan untuk memperoleh informasi dari responden.
Source: slideshare.net
Memahami tujuan dan ruang lingkup perkuliah. Sebut dan jelaskan jenis-jenis sarana berfikir ilmiah. Model metode dan teknik membaca apakah yang dapat digunakan untuk membaca cepat teks nonsastra. Mengapa logika dijadikan sebagai sarana berfikir ilmiah. Cuplikan Butir Soal Nomor 1 Instrumen Tes Literasi Sains untuk Indikator Literasi Sains 1.
Source: 123dok.com
Guru Pegawai Pemerintah dengan Perjanjian Kerja yang selanjutnya disingkat Guru PPPK adalah warga negara Indonesia yang memenuhi syarat tertentu yang diangkat berdasarkan guru dengan status perjanjian kerja untuk jangka waktu tertentu dalam rangka melaksanakan tugas pemerintahan. Ini berarti bahwa seseorang akan berhadapan dengan kebenaran hidup yang terpenting D. SOAL UJIAN UTAMA PSIKODIAGNOSTIKA 1. Model metode dan teknik membaca apakah yang dapat digunakan untuk membaca cepat teks nonsastra. Pengertian dan Teori Tentang Tes Lisan Istilah tes berasal dari bahasa Prancis Kuno yaitu testum yang berarti piring untuk menyisihkan logam mulia.
Source: slideshare.net
Metode penelitian merupakan cara ilmiah yang digunakan untuk mendapatkan data dengan tujuan tertentu. 3 SKS Prasyarat. Dalam bahasa Indonesia tes diterjemahkan sebagai ujian atau percobaan. Sebut dan jelaskan jenis-jenis logika. Sebutkan langkah-langkah yang dilakukan dalam penerapan prinsip metode ilmiah.
Source: gurugaleri.com
Sebut dan jelaskan jenis-jenis logika. ARNAIMCOM Soal dan Kunci Jawaban Tes Sumatif Modul IPA PPG Terbaru - Pada kesempatan kali ini saya ingin membagikan Soal dan Kunci Jawaban Tes Sumatif Modul IPA - Profesional. Metode penelitian merupakan cara ilmiah yang digunakan untuk mendapatkan data dengan tujuan tertentu. PETUNJUK UMUM Tulis namamu di sudut kanan atas. Dalam metode ilmiah adalah mengajukan hipotesis.
Source: id.pinterest.com
Contoh Soal Karya Ilmiah dan Kunci Jawabannya Ada sekitar 80 butir soal PGPilihan GandaPilgan bahasa Indonesia tentang karya ilmiah dan jawabannya yang bisa adik-adik jadikan referensi dalam menghadapi ujian dari guru. Berikut ini adalah beberapa contoh soal tes Bahasa Indonesia jenjang SMA untuk uji kompetensi guru. Kumpulan soal ini dapat digunakan untuk latihan kelas 10 ataupun kakak-kakak kelasnya yang akan menghadapi ujian sekolah dan seleksi masuk PTN seperti UTBK SBMPTN SIMAK UI UM UGM dan yang lainnya. Metode penulisan ilmiah adalah mata kuliah keahlian yang berisi materi tentang kaidah ilmiah makna penelitian serta implementasi. X1 Kompetensi Dasar.
Source: slideshare.net
Menurut Jujun S Suria-sumantri metode keilmuan ini merupakan gabungan antara pendekatan rasional dan empiris. KARTU SOAL PILIHAN GANDA Jenis Sekolah. Jelaskan apa yang dipelajari dalam ilmu kimia. Ilmu Pengetahuan Alam Bahan KelasSemester. Soal dan Jawaban Hakikat Fisika dan Prosedur Ilmiah Hakikat ilmu fisika dan keselamatan kerja di laboratorium sudah masuk dalam pelajaran fisika kelas X semester ganjil.
Source: slideshare.net
Kepuasan kerja guru adalah keseluruhan perasaan guru berkenaan dengan berbagai aspek pekerjaanya 5. Kumpulan soal ini dapat digunakan untuk latihan kelas 10 ataupun kakak-kakak kelasnya yang akan menghadapi ujian sekolah dan seleksi masuk PTN seperti UTBK SBMPTN SIMAK UI UM UGM dan yang lainnya. Jelaskan pengertian dari sarana berfikir ilmiah. Bentuk butir soal pada instrumen tes literasi yang dikembangkan bervariasi. PETUNJUK A soal no.
Source: soaltescpns2018.blogspot.com
Hasil jawaban latihan soal-soal PR b. Butir soal nomor 1 berkaitan dengan karakteristik kingdom monera dapat dilihat pada Gambar 1. Latihan Soal Tes Seleksi PPPK Guru Biologi SMA SMK Tahun 2021-2022. Kuesioner adalah sejumlah pertanyaan tertulis yang digunakan untuk memperoleh informasi dari responden. Sebut dan jelaskan jenis-jenis logika.
Source: msyarifah.my.id
Contoh dari tes Intelegensi adalah. Ulangan harian Contoh soal. SOAL UJIAN UTAMA PSIKODIAGNOSTIKA 1. SMK Tahta Syajar Kota Bekasi Mata Pelajaran. 20 contoh soal pilihan ganda metode ilmiah.
This site is an open community for users to share their favorite wallpapers on the internet, all images or pictures in this website are for personal wallpaper use only, it is stricly prohibited to use this wallpaper for commercial purposes, if you are the author and find this image is shared without your permission, please kindly raise a DMCA report to Us.
If you find this site serviceableness, please support us by sharing this posts to your own social media accounts like Facebook, Instagram and so on or you can also bookmark this blog page with the title soal tes lisan tentang metode ilmiah by using Ctrl + D for devices a laptop with a Windows operating system or Command + D for laptops with an Apple operating system. If you use a smartphone, you can also use the drawer menu of the browser you are using. Whether it’s a Windows, Mac, iOS or Android operating system, you will still be able to bookmark this website.





