Tahapan Menelaah Soal Tes Hasil Belajar. Pengembangan tes hasil belajar dapat dilakukan dengan langkah-langkah sebagai berikut. Hasil belajar yang berkaitan dengan perkembangan afektif 3. Analisis Parameter Kuantitatif Materi. 2482020 Langkah-langkah merancang pembelajaran Project Based Learning dilakukan melalui tahapan sebagai berikut.
Menulis Tes Hasil Belajar From slideshare.net
Melakukan evaluasi proses dan hasil belajar. Hasil belajar yang berkaitan dengan perkembangan keterampilan psikomotor. Ada delapan langkah yang perlu ditempuh dalam mengembangkan tes hasil belajara atau prestasi belajar yaitu. Bertujuan untuk mengisi teknik penulisan butirbutir soal sudah. Review adalah menelaah soal mentah secara kualitatif berdasarkan kaidah penulisan soal oleh penelaah soal. Hasil review soal diklasifikasikan menjadi soal baik soal kurang baik dan soal ditolak.
Analisis secara teoritik kualitatif dan analisis secara empiris kuantitatif.
Hasil belajar yang berkaitan dengan perkembangan kognitif. Hasil belajar yang berkaitan dengan perkembangan keterampilan psikomotor. Menganalisis hasil penilaian proses dan hasil belajar untuk berbagai tujuan 86 2. Analisis secara teoritik kualitatif dan analisis secara empiris kuantitatif. Hasil belajar peserta didik dilihat dari 3 tiga aspek yaitu. Dalam evaluasi hasil belajar wujud nyata dari kegiatan menghimpun data adalah melaksanakan pengukuran misalnya dengan menyelenggarakan tes hasil belajar apabila evaluasi hasil belajar itu menggunakan teknik tes atau melakukan pengamatan wawancara atau angket dengan menggunakan instrumen-instrumen tertentu berupa rating scale check list interview guide atau.
Source: researchgate.net
Hal ini sependapat dengan seorang ahli yang menyatakan bahwa The type of ability test that describes what a person has learned to do is called an achievement test Thordike. Menganalisis hasil penilaian proses dan hasil belajar untuk berbagai tujuan 86 2. Soal pada tes hasilmbelajar THB dibuat sebanyak 5 soal dimana soal. Dalam evaluasi hasil belajar wujud nyata dari kegiatan menghimpun data adalah melaksanakan pengukuran misalnya dengan menyelenggarakan tes hasil belajar apabila evaluasi hasil belajar itu menggunakan teknik tes atau melakukan pengamatan wawancara atau angket dengan menggunakan instrumen-instrumen tertentu berupa rating scale check list interview guide atau. Analisis kualitas soal secara teoritis meliputi.
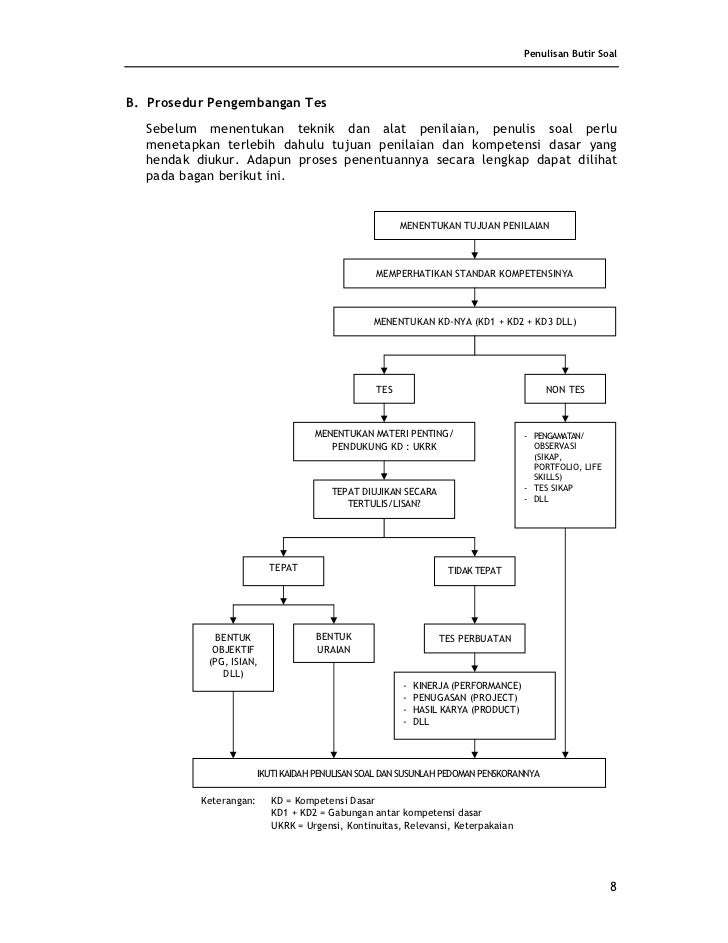
Source: id.scribd.com
Hasil belajar yang berkaitan dengan perkembangan kognitif. Ada delapan langkah yang perlu ditempuh dalam mengembangkan tes hasil belajara atau prestasi belajar yaitu. Perakitan soal Soal-soal baik selanjutnya dirakit menjadi beberapa paket soal. 1 pengembangan spesifikasi tes 2 penulisan soal 3 penelaahan soal 4 pengujian butir-butir soal secara empiris 5 administrasi tes bentuk akhir untuk tujuan pembakuan Spector 19928 dan Sumadi S. Hasil review soal diklasifikasikan menjadi soal baik soal kurang baik dan soal ditolak.
Source: id.scribd.com
Ada delapan langkah yang perlu ditempuh dalam mengembangkan tes hasil belajara atau prestasi belajar yaitu. 2 menulis soal tes. Review adalah menelaah soal mentah secara kualitatif berdasarkan kaidah penulisan soal oleh penelaah soal. Ada delapan langkah yang perlu ditempuh dalam mengembangkan tes hasil belajara atau prestasi belajar yaitu. Dengan menelaah tiap butir soal dalam instrumen maka secara kualitas materi.
Source: slideshare.net
1 pengembangan spesifikasi tes 2 penulisan soal 3 penelaahan soal 4 pengujian butir-butir soal secara empiris 5 administrasi tes bentuk akhir untuk tujuan pembakuan Spector 19928 dan Sumadi S. 40 Soal Pedagogik Tes CPNS PPPK Selasa Maret 23 2021 Tambah Komentar Ini mungkin sebagai persiapan saja bagi bapakibu yang ingin belajar mengenal menjawab soal-soal pedagogik latihan soal asn pppk supaya nantinya bisa dengan siap menjawab soal-soal dan lulus menjadi ASN PPPK. Dengan analisis soal dapat diperoleh informasi tentang kejelekan sebuah soal dan petunjuk untuk mengadakan perbaikan dalam pembelajaran. Analisis kualitas soal secara teoritis meliputi. Hasil belajar yang berkaitan dengan perkembangan keterampilan psikomotor.
Source: id.scribd.com
Dengan menelaah tiap butir soal dalam instrumen maka secara kualitas materi. Ada delapan langkah yang perlu ditempuh dalam mengembangkan tes hasil belajara atau prestasi belajar yaitu. Penelitian ini merupakan jenis Penelitian dan Pengembangan Research and Development dengan tahapan yakni menyusun spesifikasi tes menulis soal tes menelaah soal tes menelaah soal tes melakukan uji coba tes menganalisis butir soal tes memperbaiki tes merakit tes melaksanakan tes dan menafsirkan hasil tes. Menyusun spesifikasi tes 2 menulis soal tes 3 menelaah soal tes 4 melakukan uji coba tes 5 menganalisis butir soal tes 6 memperbaiki tes 7 merakit tes 8 melaksanakan tes 9 Menafsirkan hasil tes. Bertujuan untuk mengisi teknik penulisan butirbutir soal sudah.
Source: academia.edu
Hasil belajar yang berkaitan dengan perkembangan kognitif. 1 validitas 2 reliabilitas 3 objektivitas 4 praktikabilitas 5 daya pembeda 6 taraf atau derajad. Hasil belajar yang berkaitan dengan perkembangan kognitif. PPG SOAL PPG. Produk 2 hasil analisis butir soal pada 50 butir tes diperoleh a soal valid sebanyak 46 b soal termasuk reliabel c daya pembeda tes yang memiliki daya pembeda baik ada 83 dan baik sekali ada 17 d tingkat kesukaran tes.
Source: academia.edu
Suatu tes akan berisiskan pertanyaan-pertanyaan dan atau soal-soal yang harus dijawab dan atau dipecahkan oleh individu yang dites testee maka disebut tes hasil belajar achievement test. 25112009 PENILAIAN HASIL BELAJAR SD d Penelaahan soal Penelaahan soal idealnya dilakukan oleh orang lain karena biasanya kekurangan yang terdapat pada suatu soal tidak terlihat oleh si penulis soal. Dengan menelaah tiap butir soal dalam instrumen maka secara kualitas materi. Produk 2 hasil analisis butir soal pada 50 butir tes diperoleh a soal valid sebanyak 46 b soal termasuk reliabel c daya pembeda tes yang memiliki daya pembeda baik ada 83 dan baik sekali ada 17 d tingkat kesukaran tes. Hasil belajar yang berkaitan dengan perkembangan keterampilan psikomotor.
Source: slideplayer.info
Ada delapan langkah yang perlu ditempuh dalam mengembangkan tes hasil belajara atau prestasi belajar yaitu. Ada delapan langkah yang perlu ditempuh dalam mengembangkan tes hasil belajara atau prestasi belajar yaitu. 25112009 PENILAIAN HASIL BELAJAR SD d Penelaahan soal Penelaahan soal idealnya dilakukan oleh orang lain karena biasanya kekurangan yang terdapat pada suatu soal tidak terlihat oleh si penulis soal. Hasil belajar yang berkaitan dengan perkembangan kognitif. Analisis kualitas soal secara teoritis meliputi.
Source: slideshare.net
Analisis secara teoritik kualitatif dan analisis secara empiris kuantitatif. 4 melakukan ujicoba tes. E Uji coba soal Pengujicobaan soal dilakukan untuk mendapatkan informasi empirik mengenai sejauh mana sebuah soal dapat mengukur apa yang akan diukur. Produk 2 hasil analisis butir soal pada 50 butir tes diperoleh a soal valid sebanyak 46 b soal termasuk reliabel c daya pembeda tes yang memiliki daya pembeda baik ada 83 dan baik sekali ada 17 d tingkat kesukaran tes. Suatu tes akan berisiskan pertanyaan-pertanyaan dan atau soal-soal yang harus dijawab dan atau dipecahkan oleh individu yang dites testee maka disebut tes hasil belajar achievement test.
Source: slideshare.net
Menelaah KI dan KD mana yang cocok menulis Identitas Menuliskan Indikator Menuliskan Tujuan pembelajaran Menentukan Metode Pembelajaran Menuliskan Sumber Belajar Menentukan Langkah-langkah Pembelajaran dan Menilai Hasil Pembelajaran. Analisis secara teoritik kualitatif dan analisis secara empiris kuantitatif. Analisis Parameter Kuantitatif Materi. Hasil belajar yang berkaitan dengan perkembangan afektif 3. Yang dilakukan guru untuk mengevaluasi siswa adalah guru dapat memberikan berupa latihan-latihan soal atau tugas melakukan pengambilan nilai seperti kuis presentasi mid ulangan lisan atau teknik penilaian hasil belajar yang pertanyaan dan jawabannya disampaikan dalam bentuk lisan dan spontan melakukan teknik penilaian yang menuntut jawaban secara tertulis baik berupa.
Source: slideshare.net
4 melakukan ujicoba tes. 5 menganalisis butir soal. Hasil belajar yang berkaitan dengan perkembangan keterampilan psikomotor. Hasil belajar yang berkaitan dengan perkembangan kognitif. Analisis secara teoritis adalah telaah soal yang difokuskan pada aspek.
Source: slideshare.net
Bertujuan untuk mengisi teknik penulisan butirbutir soal sudah. Analisis secara teoritis adalah telaah soal yang difokuskan pada aspek. Hasil review soal diklasifikasikan menjadi soal baik soal kurang baik dan soal ditolak. Perakitan soal Soal-soal baik selanjutnya dirakit menjadi beberapa paket soal. Dengan menelaah tiap butir soal dalam instrumen maka secara kualitas materi.
Source: id.scribd.com
Bertujuan untuk mengetahui apakah materi harus sesuai dengan kompetensi atau hasil belajar yang ditetapkan sesuai dengan jenjang kemampuan berpikir peserta tesdan jawaban harus sesuai denagn isi pokok soal Kontruksi. Hasil review soal diklasifikasikan menjadi soal baik soal kurang baik dan soal ditolak. E Uji coba soal Pengujicobaan soal dilakukan untuk mendapatkan informasi empirik mengenai sejauh mana sebuah soal dapat mengukur apa yang akan diukur. 40 Soal Pedagogik Tes CPNS PPPK Selasa Maret 23 2021 Tambah Komentar Ini mungkin sebagai persiapan saja bagi bapakibu yang ingin belajar mengenal menjawab soal-soal pedagogik latihan soal asn pppk supaya nantinya bisa dengan siap menjawab soal-soal dan lulus menjadi ASN PPPK. Mengurutkan hasil tes dengan urutan dari nilai terbesar ke nilai terkecil.
Source: slideshare.net
Menyusun spesifikasi tes 2 menulis soal tes 3 menelaah soal tes 4 melakukan uji coba tes 5 menganalisis butir soal tes 6 memperbaiki tes 7 merakit tes 8 melaksanakan tes 9 Menafsirkan hasil tes. Hal ini sependapat dengan seorang ahli yang menyatakan bahwa The type of ability test that describes what a person has learned to do is called an achievement test Thordike. 5 menganalisis butir soal. Dengan analisis soal dapat diperoleh informasi tentang kejelekan sebuah soal dan petunjuk untuk mengadakan perbaikan dalam pembelajaran. Penelaahan Soal Konstruksi Tes Hasil Belajar 16 Tahapan keempat dalam pengembangan soal adalah melihat soal dari segi kualitas untuk mengkaji berfungsi tidaknya sebuah soal yaitu berupa telaah review dan perbaikan revisi soal.
Source: slideshare.net
Menelaah KI dan KD mana yang cocok menulis Identitas Menuliskan Indikator Menuliskan Tujuan pembelajaran Menentukan Metode Pembelajaran Menuliskan Sumber Belajar Menentukan Langkah-langkah Pembelajaran dan Menilai Hasil Pembelajaran. Menganalisis hasil penilaian proses dan hasil belajar untuk berbagai tujuan 86 2. Dalam evaluasi hasil belajar wujud nyata dari kegiatan menghimpun data adalah melaksanakan pengukuran misalnya dengan menyelenggarakan tes hasil belajar apabila evaluasi hasil belajar itu menggunakan teknik tes atau melakukan pengamatan wawancara atau angket dengan menggunakan instrumen-instrumen tertentu berupa rating scale check list interview guide atau. Suatu tes akan berisiskan pertanyaan-pertanyaan dan atau soal-soal yang harus dijawab dan atau dipecahkan oleh individu yang dites testee maka disebut tes hasil belajar achievement test. 2 menulis soal tes.
Source: slideshare.net
Analisis Parameter Kuantitatif Materi. Menganalisis hasil penilaian proses dan hasil belajar untuk berbagai tujuan 86 2. Penelaahan Soal Konstruksi Tes Hasil Belajar 16 Tahapan keempat dalam pengembangan soal adalah melihat soal dari segi kualitas untuk mengkaji berfungsi tidaknya sebuah soal yaitu berupa telaah review dan perbaikan revisi soal. 5 menganalisis butir soal. Hasil belajar yang berkaitan dengan perkembangan kognitif.
Source: slideshare.net
Hal ini sependapat dengan seorang ahli yang menyatakan bahwa The type of ability test that describes what a person has learned to do is called an achievement test Thordike. Soal baik langsung diterima soal kurang baik perlu diperbaiki sehingga diperoleh soal yang baik dan soal yang ditolak dikembalikan ke penulis4. Review adalah menelaah soal mentah secara kualitatif berdasarkan kaidah penulisan soal oleh penelaah soal. Produk 2 hasil analisis butir soal pada 50 butir tes diperoleh a soal valid sebanyak 46 b soal termasuk reliabel c daya pembeda tes yang memiliki daya pembeda baik ada 83 dan baik sekali ada 17 d tingkat kesukaran tes. 1 pengembangan spesifikasi tes 2 penulisan soal 3 penelaahan soal 4 pengujian butir-butir soal secara empiris 5 administrasi tes bentuk akhir untuk tujuan pembakuan Spector 19928 dan Sumadi S.
Source: slideshare.net
Analisis Parameter Kuantitatif Materi. 40 Soal Pedagogik Tes CPNS PPPK Selasa Maret 23 2021 Tambah Komentar Ini mungkin sebagai persiapan saja bagi bapakibu yang ingin belajar mengenal menjawab soal-soal pedagogik latihan soal asn pppk supaya nantinya bisa dengan siap menjawab soal-soal dan lulus menjadi ASN PPPK. Soal pada tes hasilmbelajar THB dibuat sebanyak 5 soal dimana soal. 2482020 Langkah-langkah merancang pembelajaran Project Based Learning dilakukan melalui tahapan sebagai berikut. E Uji coba soal Pengujicobaan soal dilakukan untuk mendapatkan informasi empirik mengenai sejauh mana sebuah soal dapat mengukur apa yang akan diukur.
This site is an open community for users to do sharing their favorite wallpapers on the internet, all images or pictures in this website are for personal wallpaper use only, it is stricly prohibited to use this wallpaper for commercial purposes, if you are the author and find this image is shared without your permission, please kindly raise a DMCA report to Us.
If you find this site convienient, please support us by sharing this posts to your preference social media accounts like Facebook, Instagram and so on or you can also save this blog page with the title tahapan menelaah soal tes hasil belajar by using Ctrl + D for devices a laptop with a Windows operating system or Command + D for laptops with an Apple operating system. If you use a smartphone, you can also use the drawer menu of the browser you are using. Whether it’s a Windows, Mac, iOS or Android operating system, you will still be able to bookmark this website.




